首页 > 器乐 > 笛箫曲谱 / 正文内容_渔歌-渔歌笛箫曲谱

渔歌-渔歌笛箫曲谱

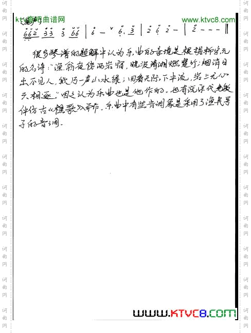
渔歌

渔歌

渔歌

渔歌

渔歌

渔歌

相关话题:渔歌

乐器分类
戏曲专栏
热门话题