首页 > 器乐 > 笛箫曲谱 / 正文内容_人民代表-人民代表,洪洋,洪洋,钢琴洪洋笛箫曲谱

人民代表-人民代表,洪洋,洪洋,钢琴洪洋笛箫曲谱

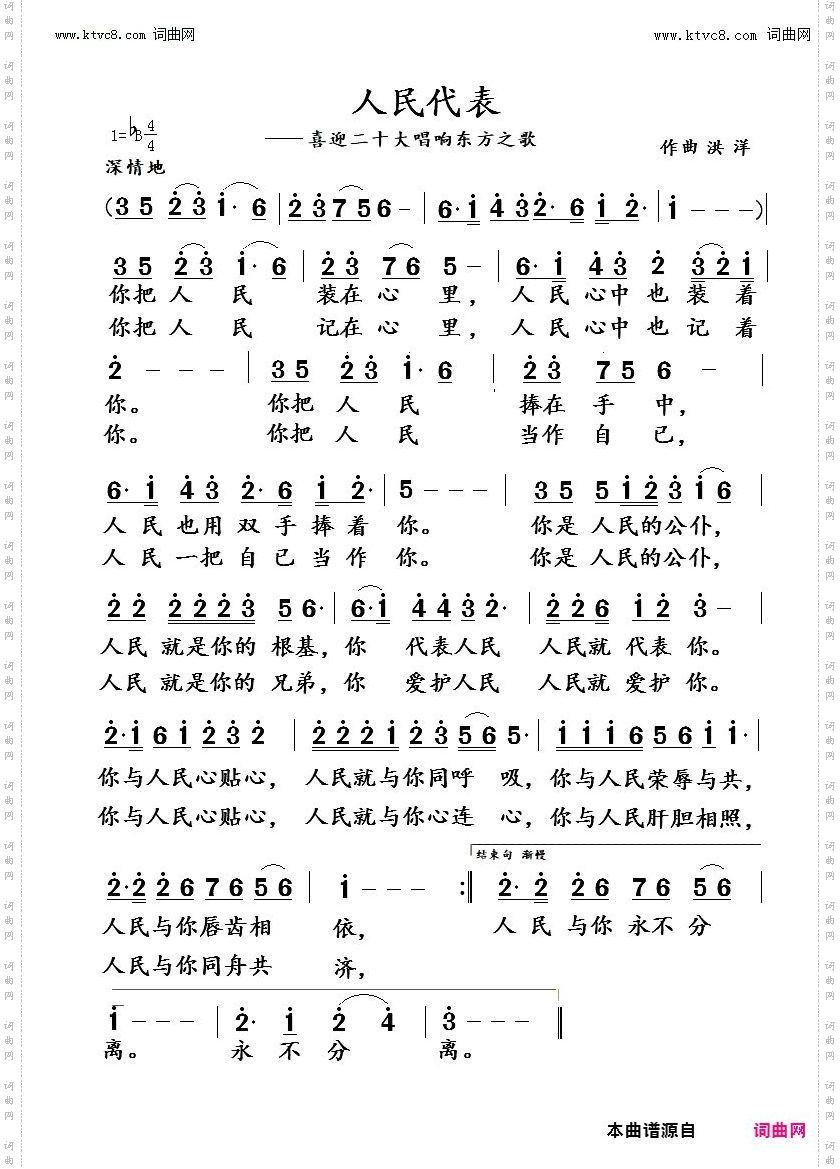
人民代表

相关话题:人民代表   洪洋   洪洋   钢琴洪洋

乐器分类
戏曲专栏
热门话题