首页 > 器乐 > 二胡曲谱 / 正文内容_慢三六民乐类二胡-江南丝竹二胡曲谱

慢三六民乐类二胡-江南丝竹二胡曲谱

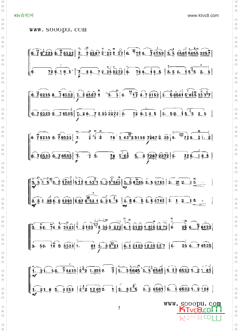
慢三六民乐类二胡

慢三六民乐类二胡

慢三六民乐类二胡

慢三六民乐类二胡

慢三六民乐类二胡

慢三六民乐类二胡

慢三六民乐类二胡

慢三六民乐类二胡

慢三六民乐类二胡

慢三六民乐类二胡

相关话题:江南丝竹

乐器分类
戏曲专栏
热门话题