首页 > 器乐 > 二胡曲谱 / 正文内容_阿曼尼莎二胡协奏曲-王丹红,王丹红二胡曲谱

阿曼尼莎二胡协奏曲-王丹红,王丹红二胡曲谱

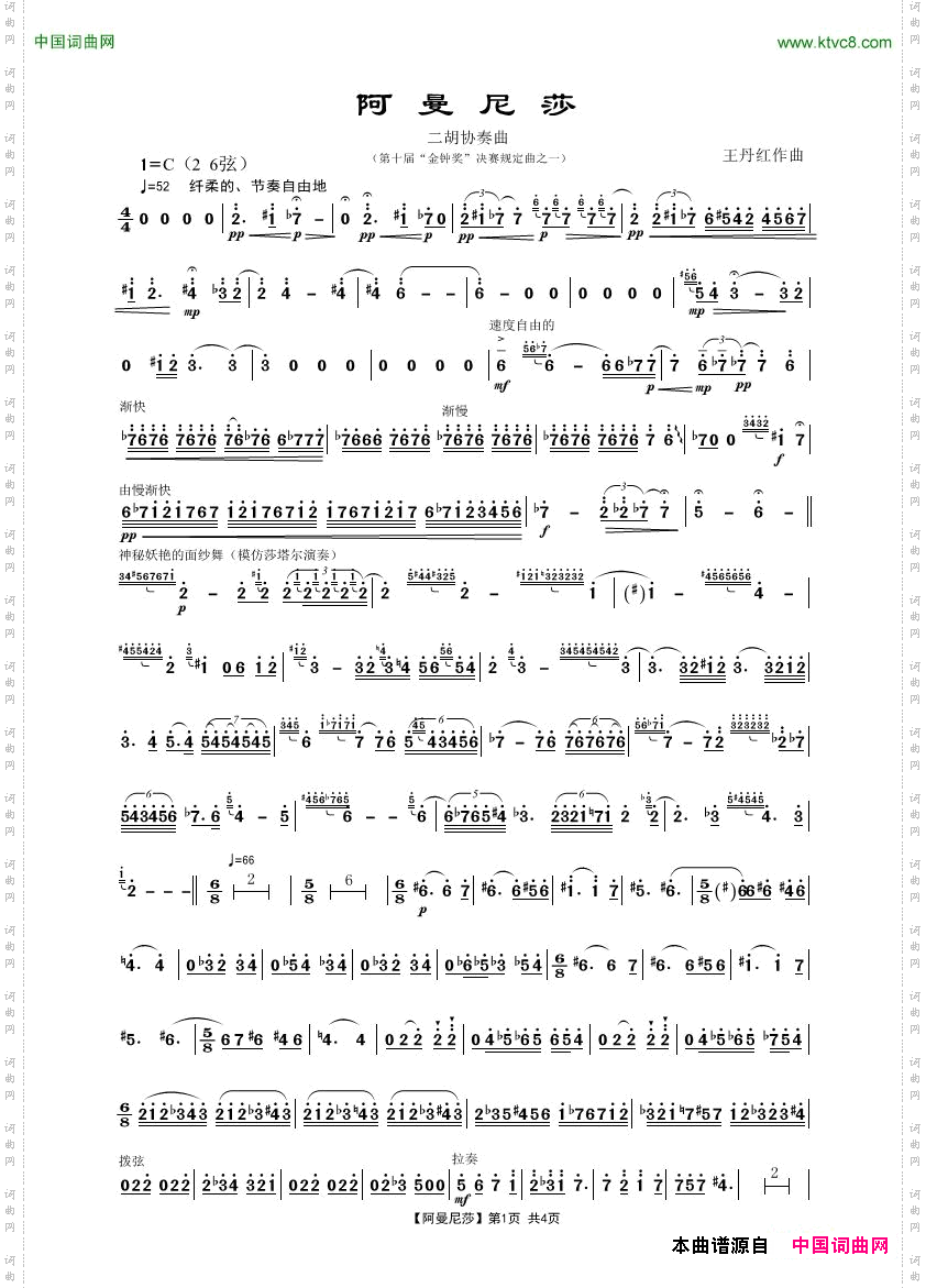
阿曼尼莎二胡协奏曲

阿曼尼莎二胡协奏曲

阿曼尼莎二胡协奏曲

阿曼尼莎二胡协奏曲

相关话题:王丹红   王丹红

乐器分类
戏曲专栏
热门话题