首页 > 器乐 > 吉他曲谱 / 正文内容_思念是一种病-思念是一种病,张震岳吉他曲谱

思念是一种病-思念是一种病,张震岳吉他曲谱

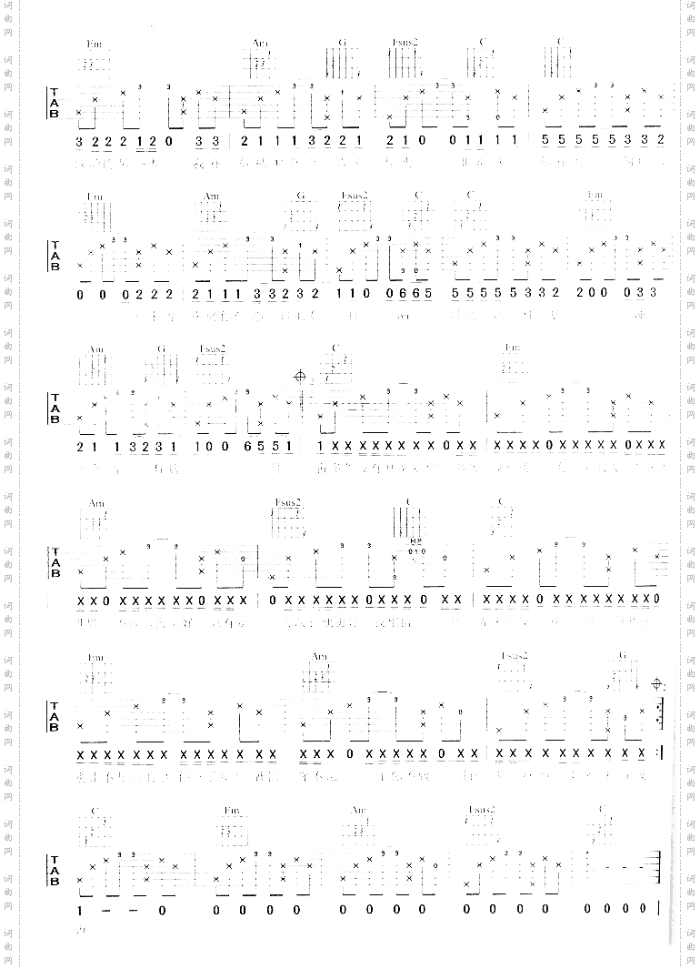
思念是一种病

思念是一种病

思念是一种病

相关话题:思念是一种病   张震岳

乐器分类
戏曲专栏
热门话题