首页 > 器乐 > 吉他曲谱 / 正文内容_想起-想起,张宇吉他曲谱

想起-想起,张宇吉他曲谱

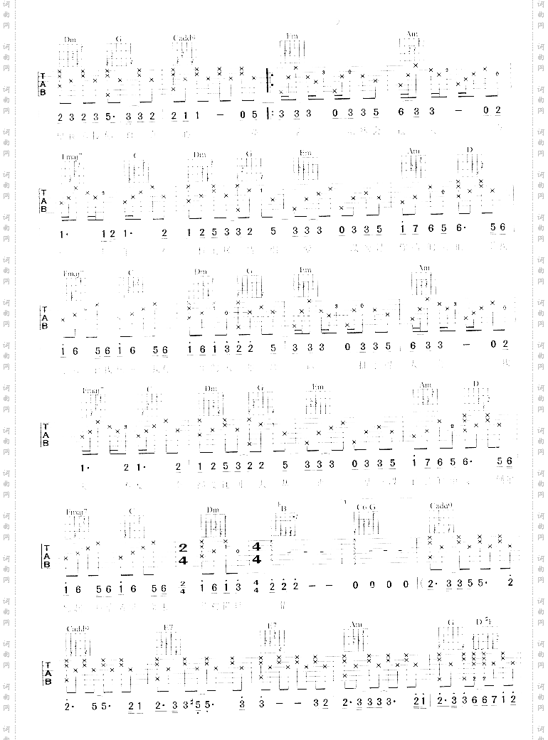
想起

想起

想起

相关话题:想起   张宇

乐器分类
戏曲专栏
热门话题