首页 > 器乐 > 吉他曲谱 / 正文内容_迪克牛仔-忘记我还是忘记他-迪克牛仔吉他曲谱

迪克牛仔-忘记我还是忘记他-迪克牛仔吉他曲谱

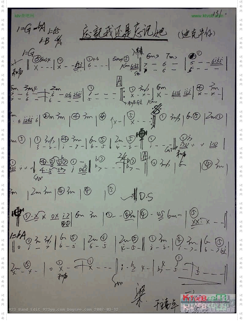
迪克牛仔-忘记我还是忘记他

相关话题:迪克牛仔

乐器分类
戏曲专栏
热门话题