首页 > 器乐 > 其他乐器 / 正文内容_我只心工尺谱-我只心工尺谱其他乐器

我只心工尺谱-我只心工尺谱其他乐器

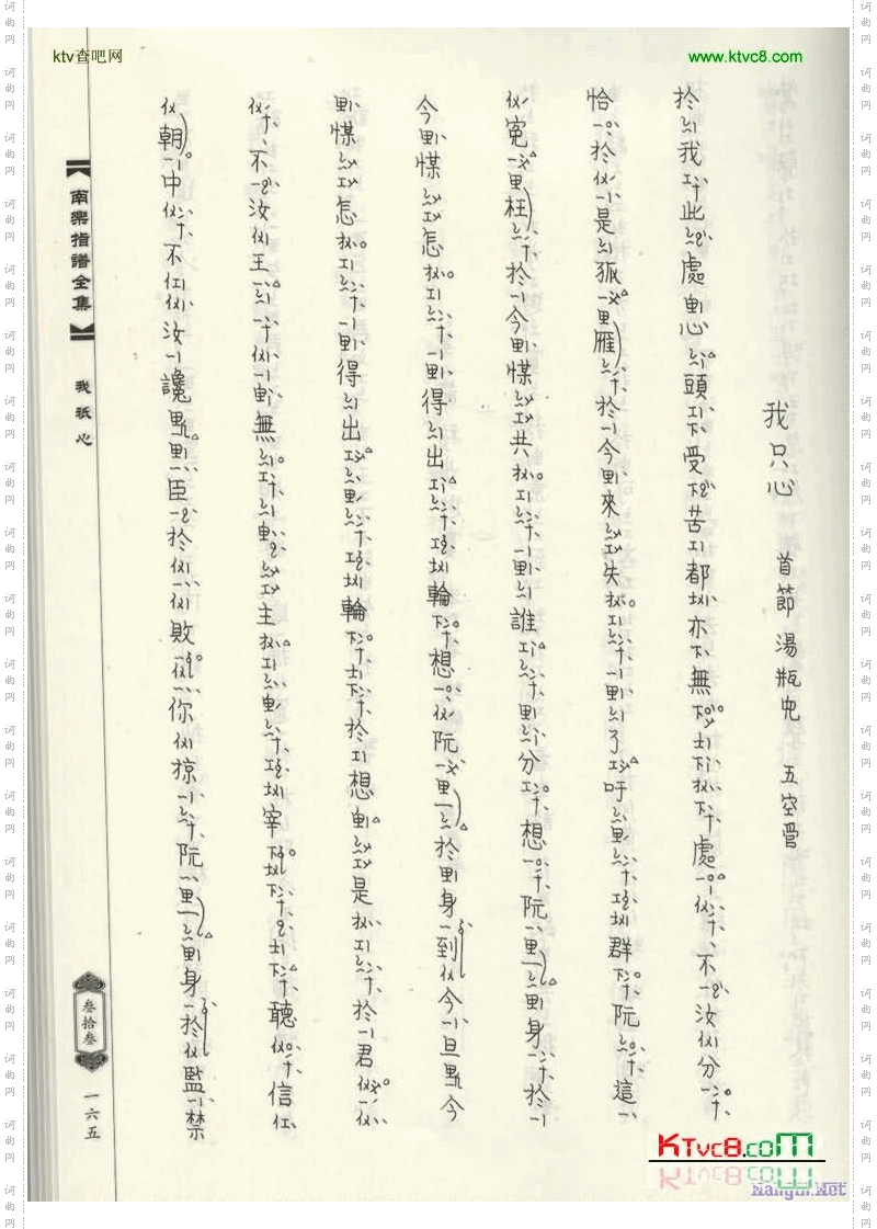
我只心工尺谱

我只心工尺谱

我只心工尺谱

我只心工尺谱

我只心工尺谱

我只心工尺谱

相关话题:我只心工尺谱

乐器分类
戏曲专栏
热门话题