首页 > 器乐 > 萨克斯曲谱 / 正文内容_城里的月光_萨克斯乐曲D/G调伴奏-城里的月光,陈佳明,陈佳明萨克斯曲谱

城里的月光_萨克斯乐曲D/G调伴奏-城里的月光,陈佳明,陈佳明萨克斯曲谱

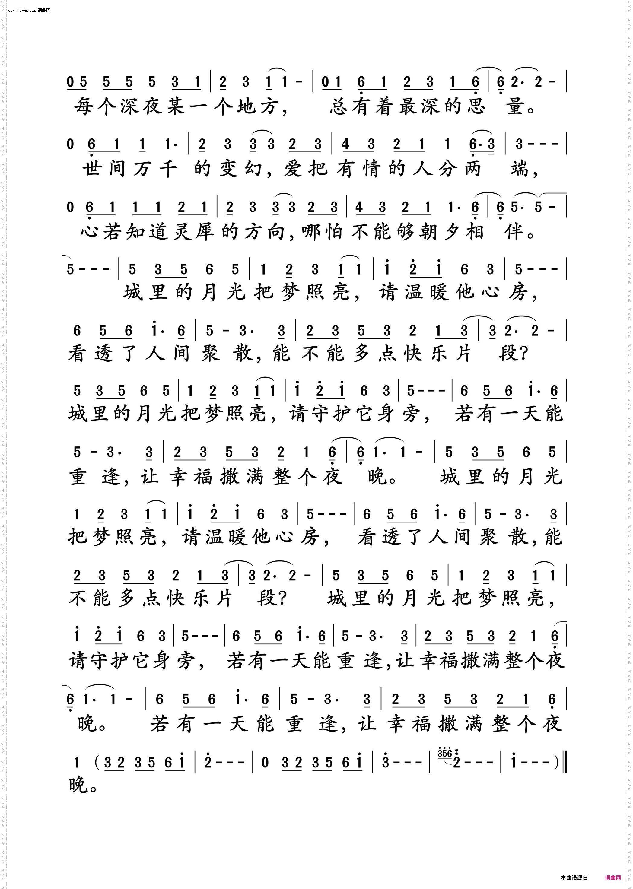
城里的月光_萨克斯乐曲D/G调伴奏

城里的月光_萨克斯乐曲D/G调伴奏

相关话题:城里的月光   陈佳明   陈佳明

乐器分类
戏曲专栏
热门话题