首页 > 器乐 > 萨克斯曲谱 / 正文内容_海边的陌生人-海边的陌生人,陆春生萨克斯曲谱

海边的陌生人-海边的陌生人,陆春生萨克斯曲谱

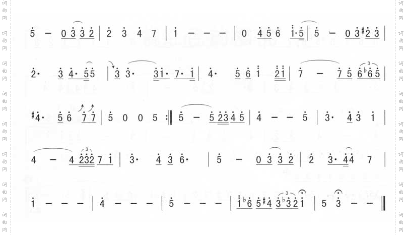
海边的陌生人

海边的陌生人

相关话题:海边的陌生人   陆春生

乐器分类
戏曲专栏
热门话题