首页 > 器乐 > 唢呐曲谱 / 正文内容_北路梆子民乐类唢呐-民间乐曲唢呐曲谱

北路梆子民乐类唢呐-民间乐曲唢呐曲谱

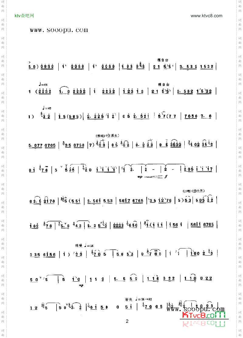
北路梆子民乐类唢呐

北路梆子民乐类唢呐

北路梆子民乐类唢呐

北路梆子民乐类唢呐

相关话题:民间乐曲

乐器分类
戏曲专栏
热门话题