首页 > 声乐 > 动态谱 / 正文内容_二十年后再相会-甲丁,张枚同,谷建芬,戴玉强,金婷婷动态谱

二十年后再相会-甲丁,张枚同,谷建芬,戴玉强,金婷婷动态谱

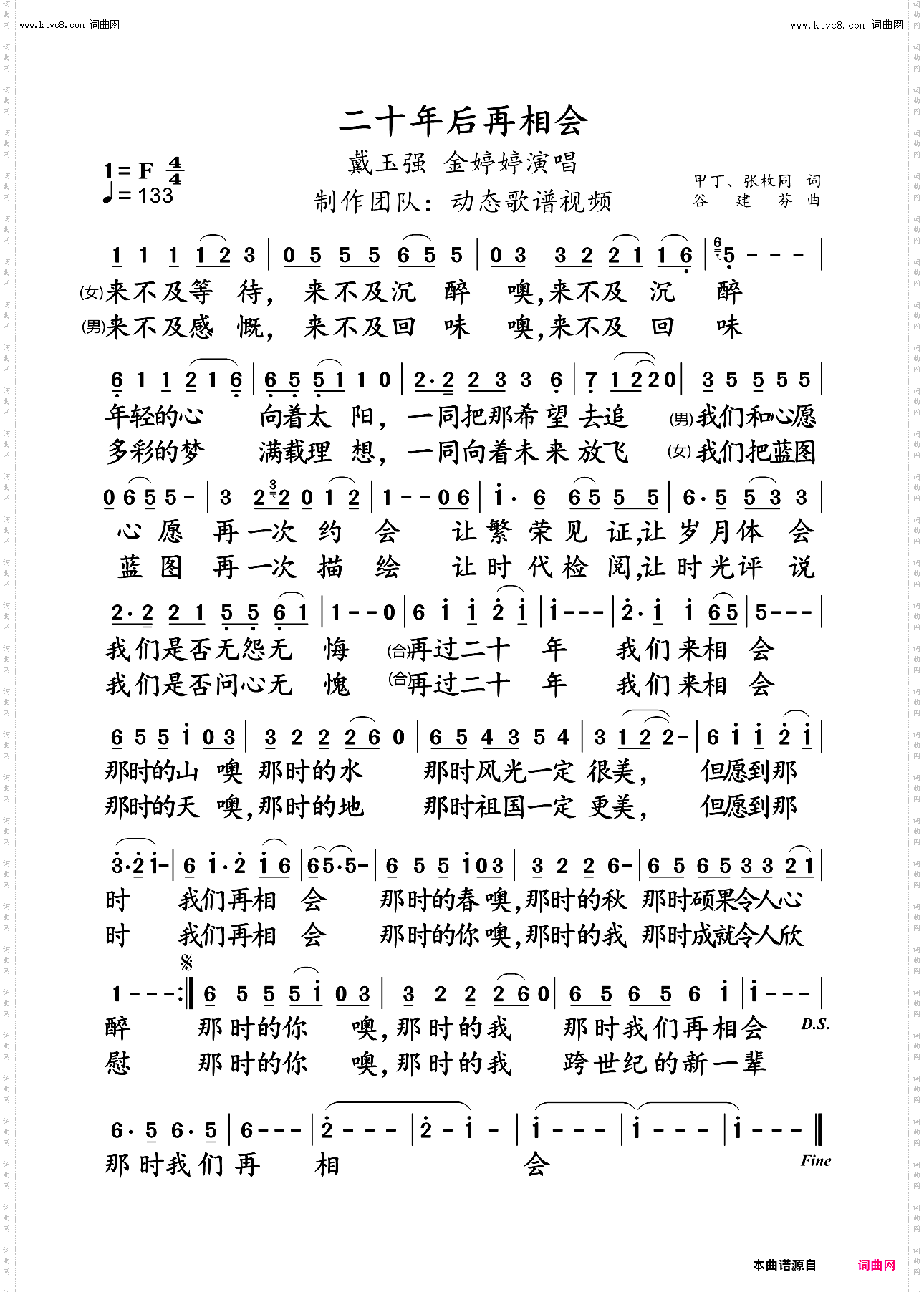
二十年后再相会

相关话题:甲丁   张枚同   谷建芬   戴玉强   金婷婷

乐器分类
戏曲专栏
热门话题