首页 > 声乐 > 动态谱 / 正文内容_我向你举手-我向你举手,李以诺,李以诺,李以诺动态谱

我向你举手-我向你举手,李以诺,李以诺,李以诺动态谱

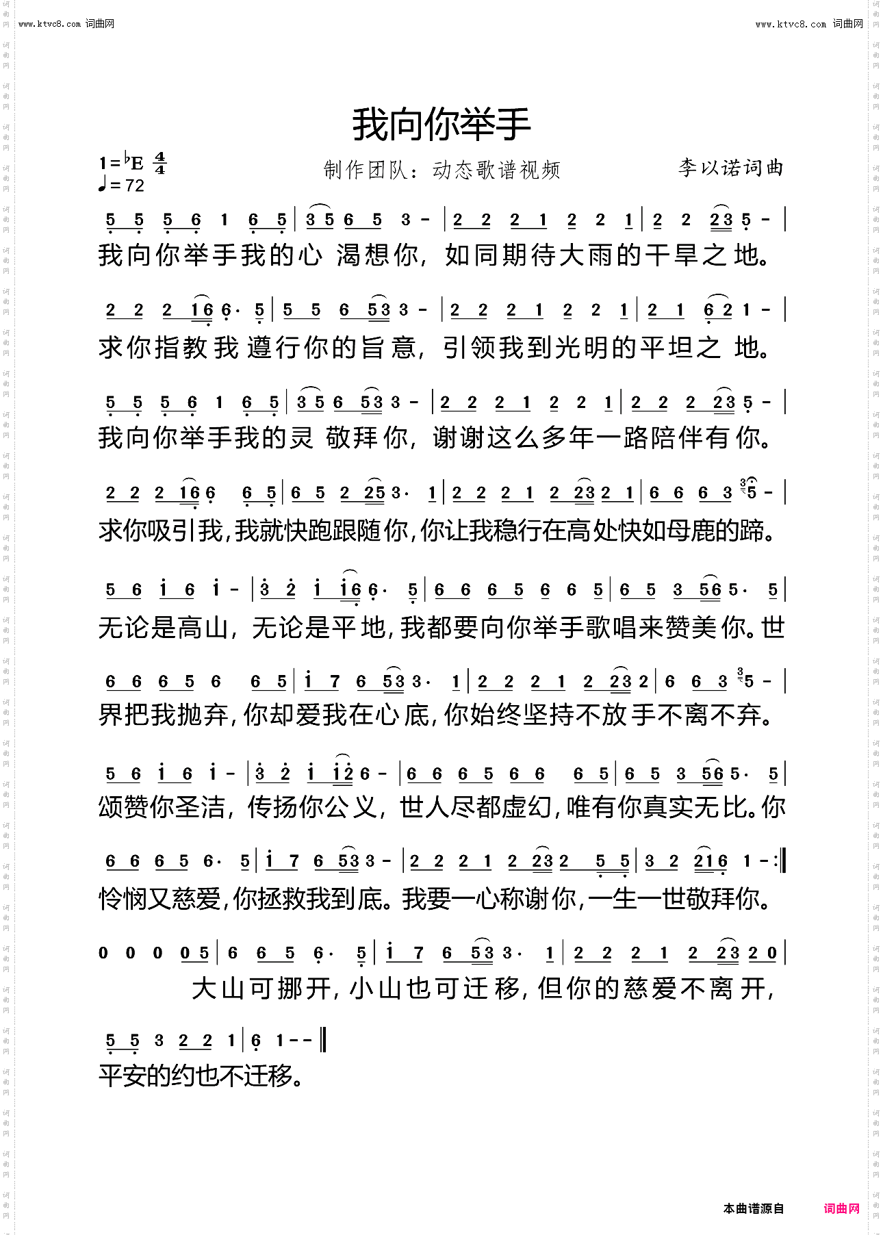
我向你举手

相关话题:我向你举手   李以诺   李以诺   李以诺

猜你喜欢的动态谱

乐器分类
戏曲专栏
热门话题