首页 > 声乐 > 动态谱 / 正文内容_领航-领航,集体,亢竹青,殷秀梅,廖昌永,魏松动态谱

领航-领航,集体,亢竹青,殷秀梅,廖昌永,魏松动态谱

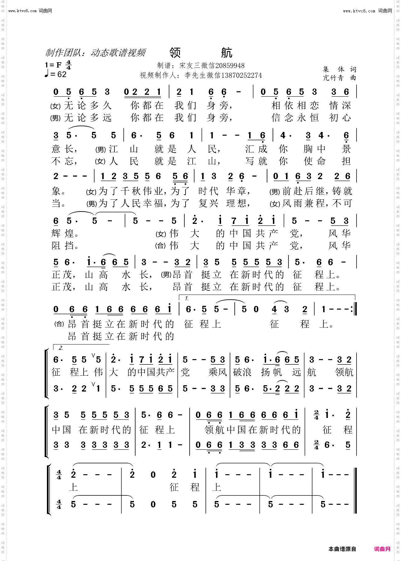
领航

相关话题:领航   集体   亢竹青   殷秀梅   廖昌永   魏松

乐器分类
戏曲专栏
热门话题