首页 > 声乐 > 动态谱 / 正文内容_等着我,亲爱的人_歌剧沂蒙山主题歌-王晓岭,李文绪,栾凯,王丽达,王传亮动态谱

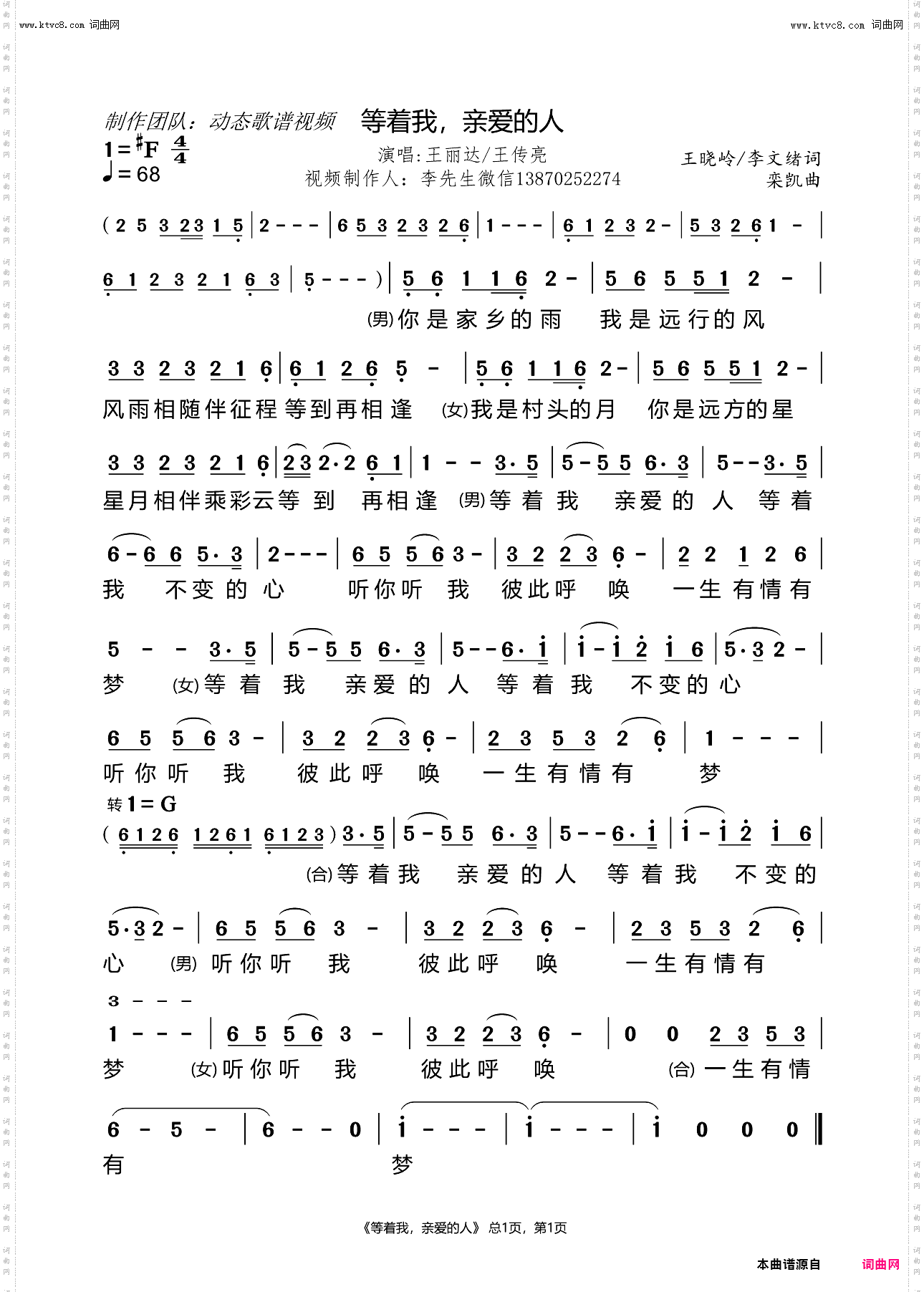
等着我,亲爱的人_歌剧沂蒙山主题歌-王晓岭,李文绪,栾凯,王丽达,王传亮动态谱

等着我,亲爱的人_歌剧沂蒙山主题歌

相关话题:王晓岭   李文绪   栾凯   王丽达   王传亮

乐器分类
戏曲专栏
热门话题