首页 > 声乐 > 动态谱 / 正文内容_黄土地上的二妹妹-刘清泉,刘清泉,刘清泉动态谱

黄土地上的二妹妹-刘清泉,刘清泉,刘清泉动态谱

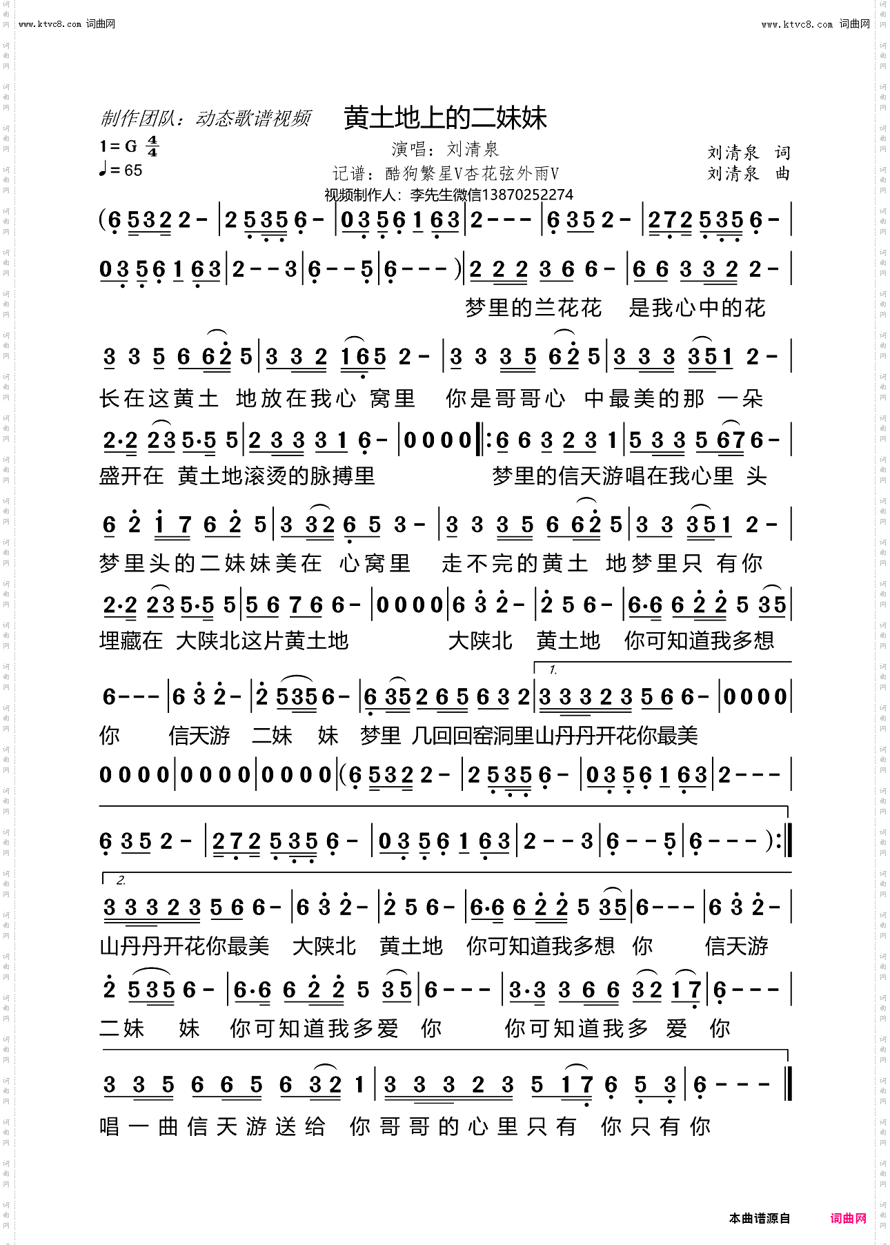
黄土地上的二妹妹

相关话题:刘清泉   刘清泉   刘清泉

乐器分类
戏曲专栏
热门话题