首页 > 声乐 > 动态谱 / 正文内容_太委屈_歌星成名曲17-太委屈,郑华娟,郑华娟,陶晶莹动态谱

太委屈_歌星成名曲17-太委屈,郑华娟,郑华娟,陶晶莹动态谱

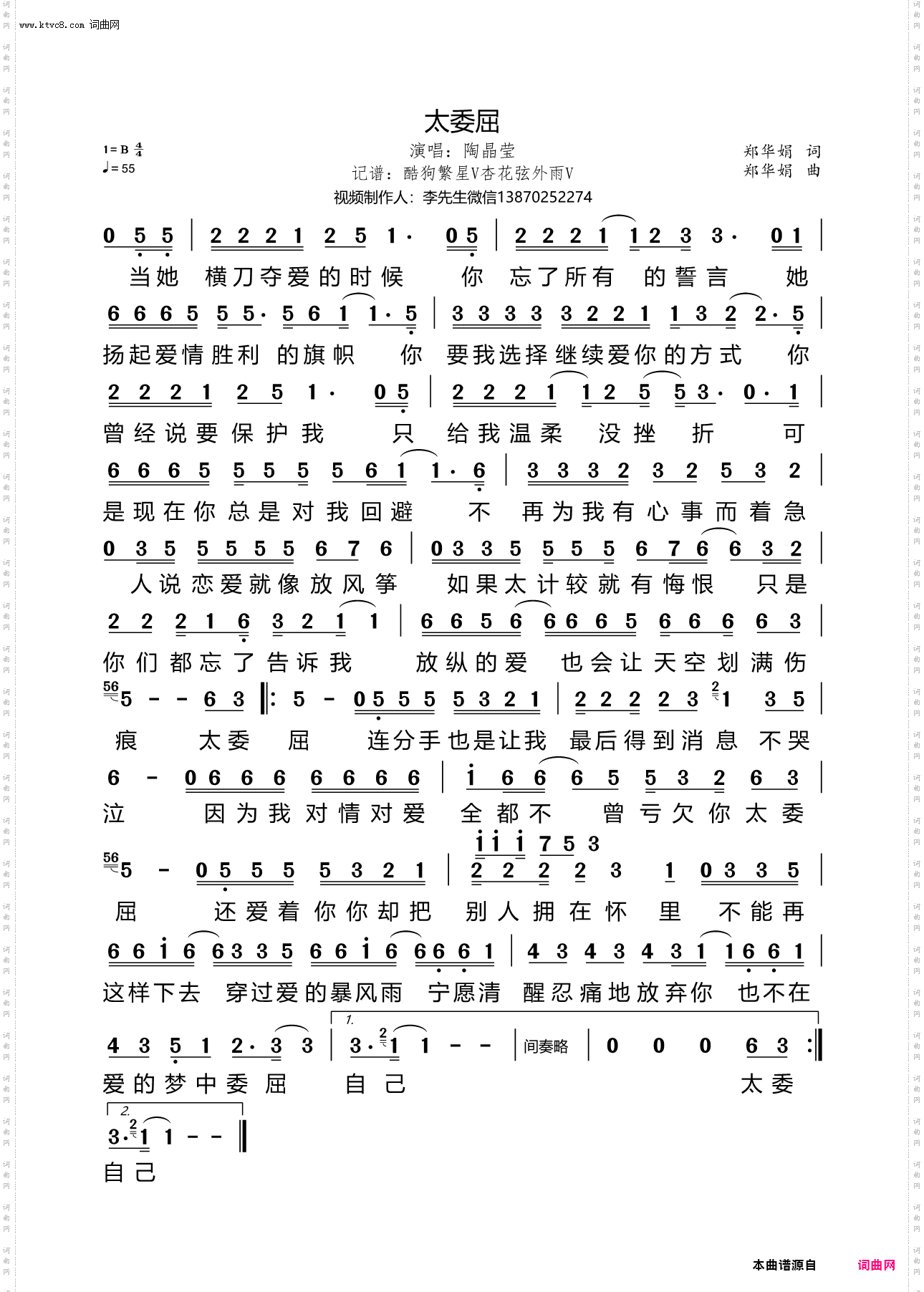
太委屈_歌星成名曲17

相关话题:太委屈   郑华娟   郑华娟   陶晶莹

乐器分类
戏曲专栏
热门话题