首页 > 声乐 > 动态谱 / 正文内容_爱永在_庄文静 动态谱-爱永在,王晓岭,李文绪,栾凯,庄文静动态谱

爱永在_庄文静 动态谱-爱永在,王晓岭,李文绪,栾凯,庄文静动态谱

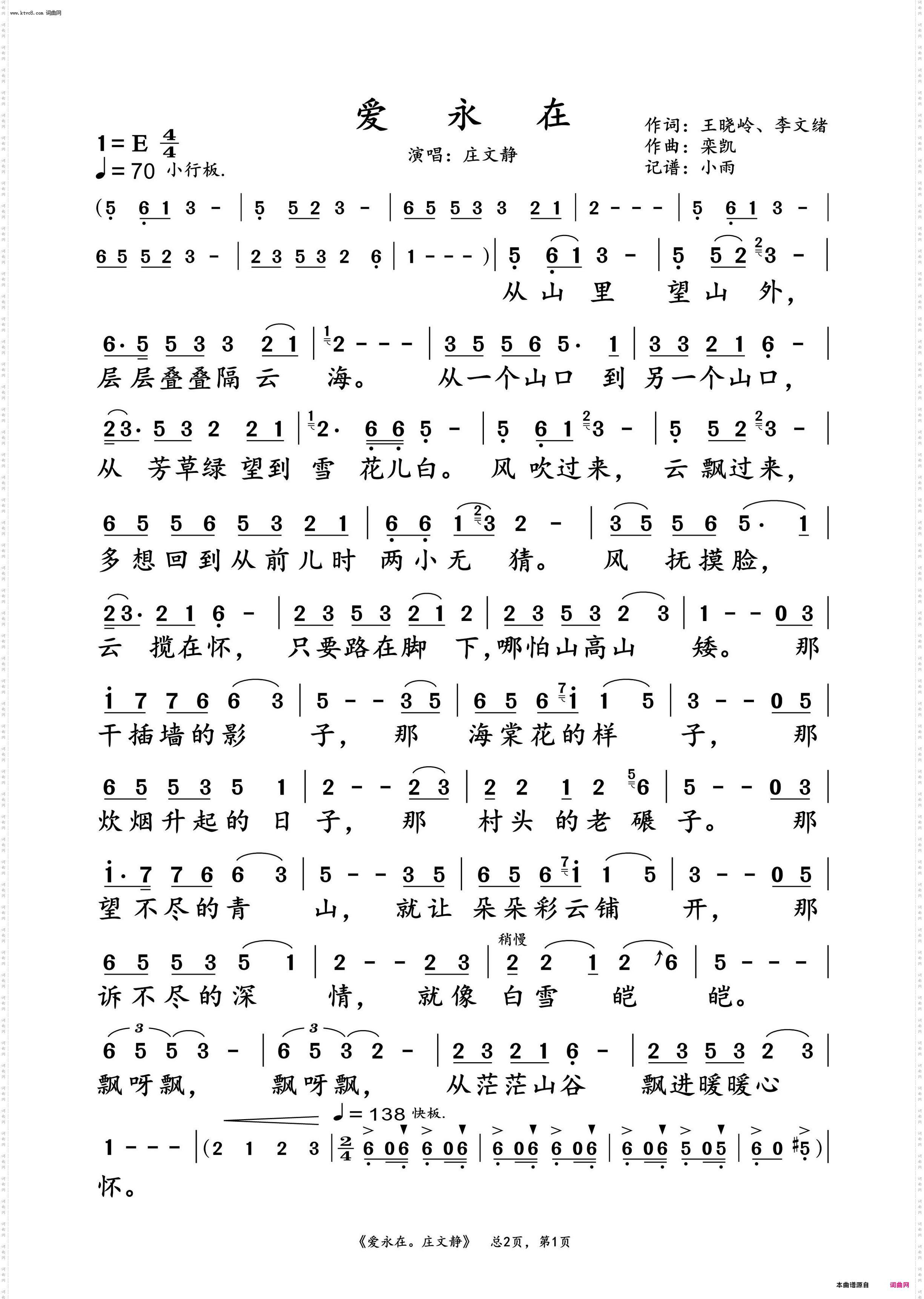
爱永在_庄文静 动态谱

爱永在_庄文静 动态谱

相关话题:爱永在   王晓岭   李文绪   栾凯   庄文静

乐器分类
戏曲专栏
热门话题