首页 > 声乐 > 动态谱 / 正文内容_我和我的祖国-我和我的祖国,张藜,秦咏诚,殷秀梅动态谱

我和我的祖国-我和我的祖国,张藜,秦咏诚,殷秀梅动态谱

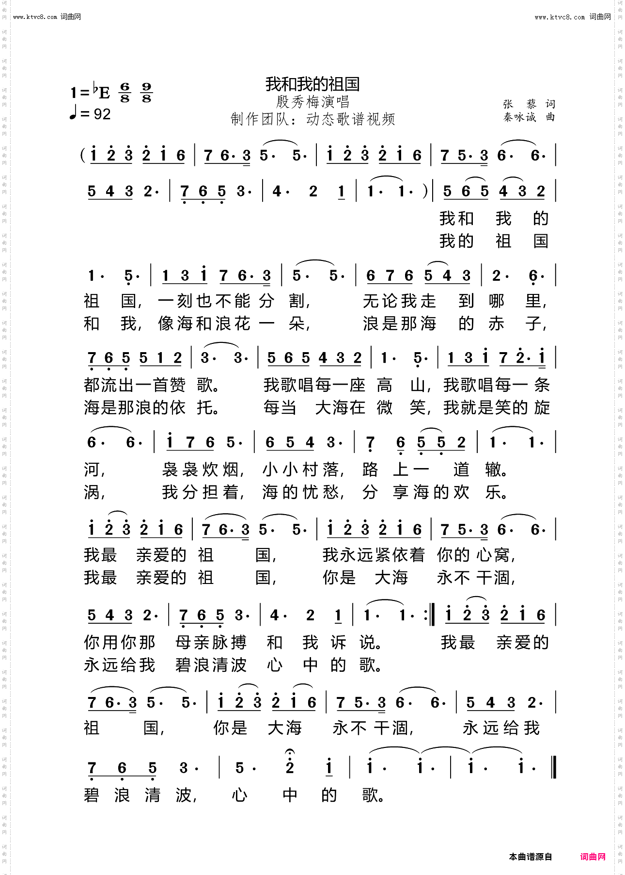
我和我的祖国

相关话题:我和我的祖国   张藜   秦咏诚   殷秀梅

乐器分类
戏曲专栏
热门话题