首页 > 声乐 > 动态谱 / 正文内容_我的祝福你听见了吗-郝立轩,王立东,谭晶动态谱

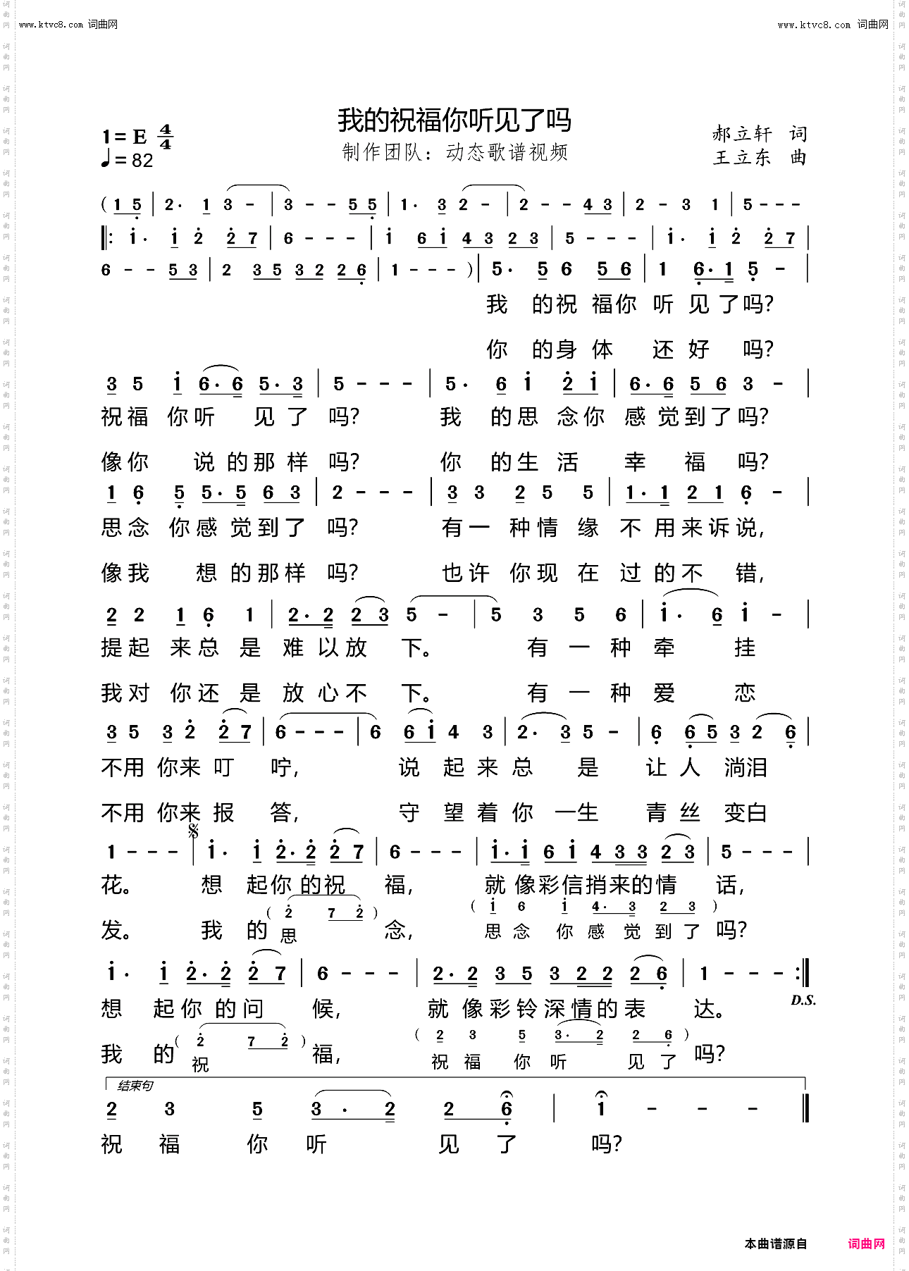
我的祝福你听见了吗-郝立轩,王立东,谭晶动态谱

我的祝福你听见了吗

相关话题:郝立轩   王立东   谭晶

乐器分类
戏曲专栏
热门话题