首页 > 声乐 > 动态谱 / 正文内容_多情野花不要采-杰哥哥,思雨,杰哥哥,思雨,晓依动态谱

多情野花不要采-杰哥哥,思雨,杰哥哥,思雨,晓依动态谱

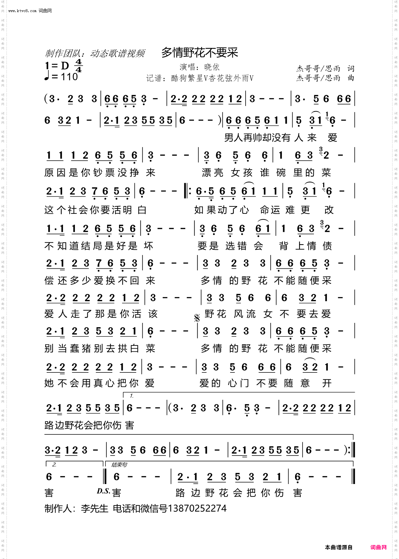
多情野花不要采

相关话题:杰哥哥   思雨   杰哥哥   思雨   晓依

乐器分类
戏曲专栏
热门话题