首页 > 声乐 > 动态谱 / 正文内容_望故乡_动态纯伴谱-望故乡,苇子,李杰,莫华伦,孟可,丁纪动态谱

望故乡_动态纯伴谱-望故乡,苇子,李杰,莫华伦,孟可,丁纪动态谱

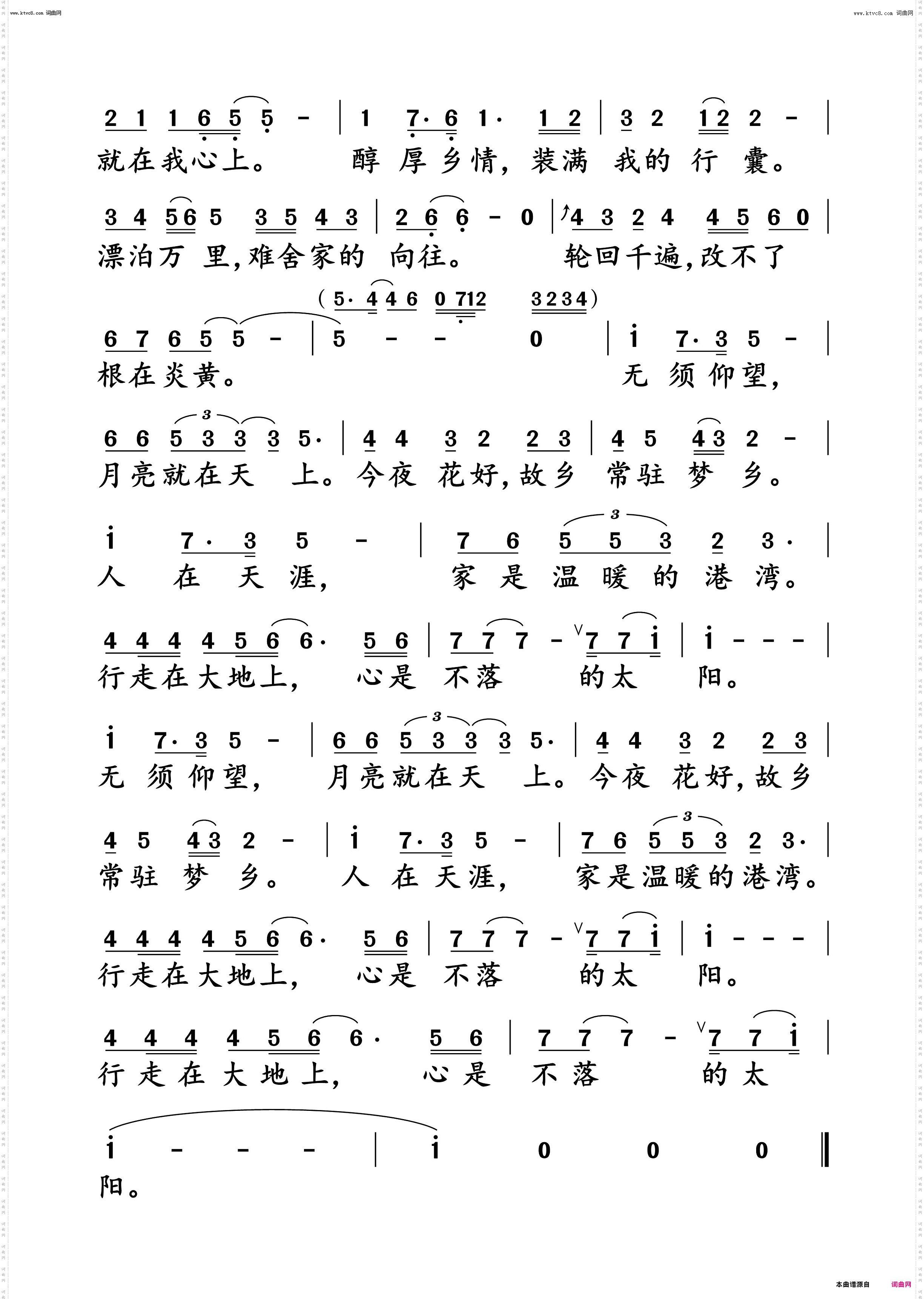
望故乡_动态纯伴谱

望故乡_动态纯伴谱

相关话题:望故乡   苇子   李杰   莫华伦   孟可   丁纪

乐器分类
戏曲专栏
热门话题