首页 > 声乐 > 动态谱 / 正文内容_有没有人可以懂我-汪波,康清华,熊七梅动态谱

有没有人可以懂我-汪波,康清华,熊七梅动态谱

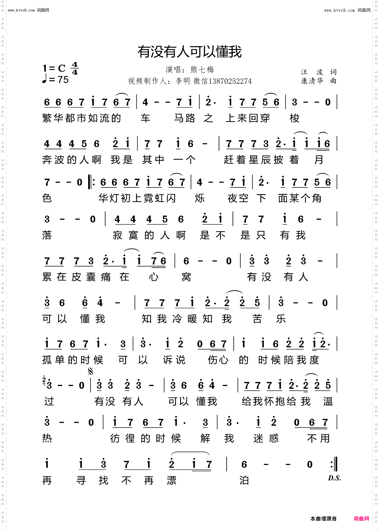
有没有人可以懂我

相关话题:汪波   康清华   熊七梅

乐器分类
戏曲专栏
热门话题