首页 > 声乐 > 简谱 / 正文内容_老兵的责任-老兵的责任,晨光,晨光简谱

老兵的责任-老兵的责任,晨光,晨光简谱

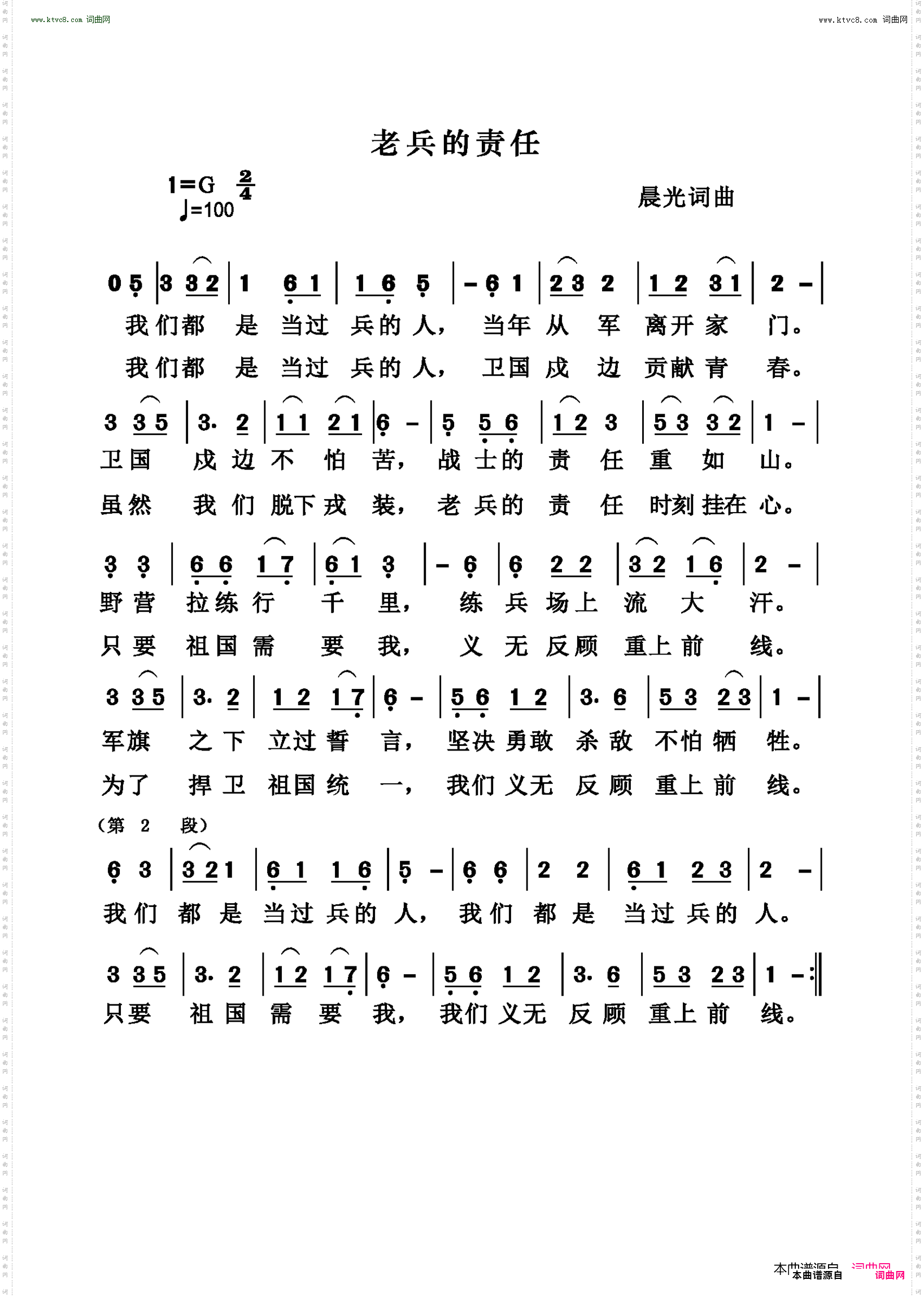
老兵的责任

相关话题:老兵的责任   晨光   晨光

乐器分类
戏曲专栏
热门话题