首页 > 声乐 > 简谱 / 正文内容_喀喇昆仑战歌-喀喇昆仑战歌,陈能书,顾坤元简谱

喀喇昆仑战歌-喀喇昆仑战歌,陈能书,顾坤元简谱

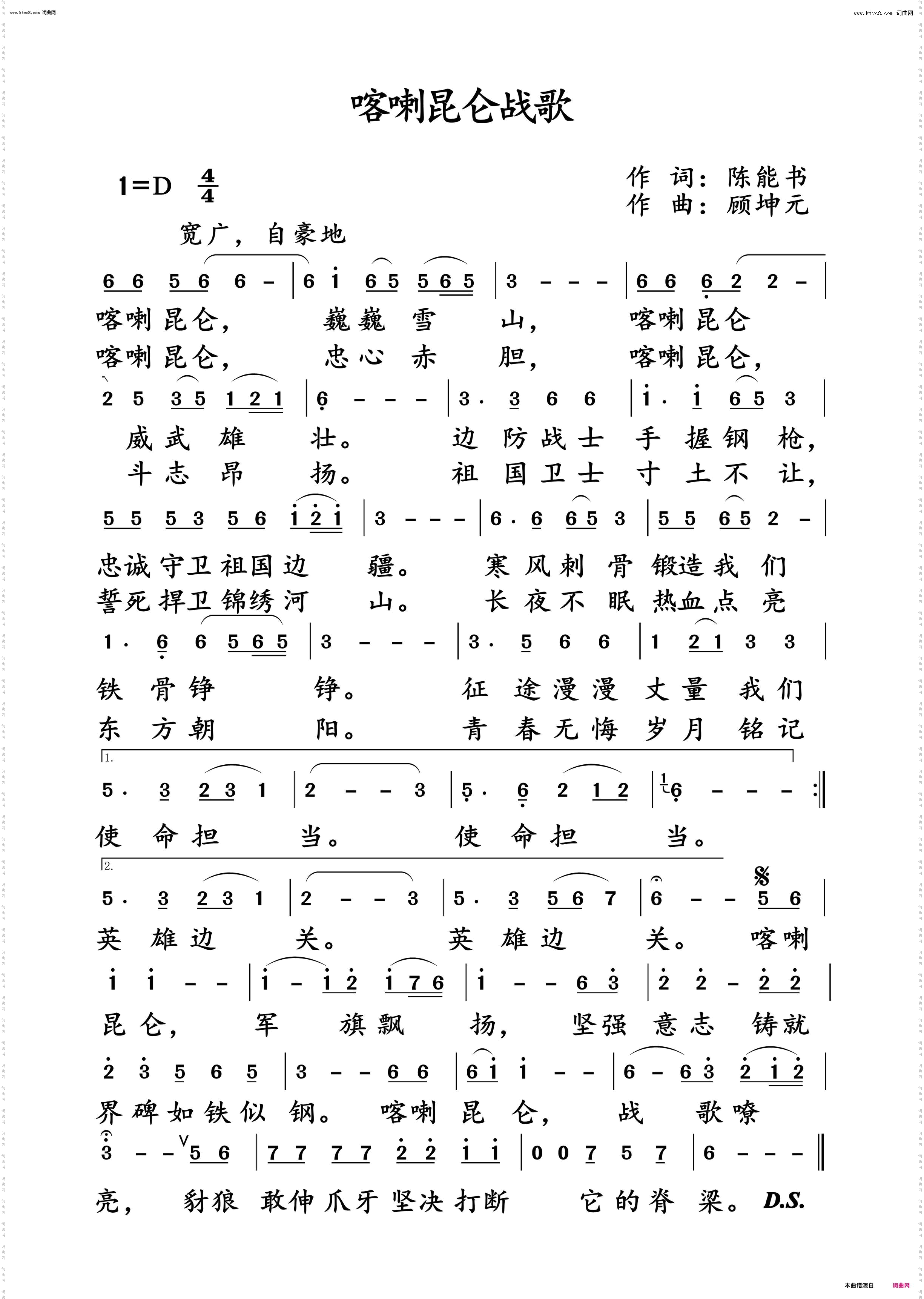
喀喇昆仑战歌

相关话题:喀喇昆仑战歌   陈能书   顾坤元

乐器分类
戏曲专栏
热门话题