首页 > 声乐 > 简谱 / 正文内容_天下奇果_石榴的奉献精神-天下奇果,纪朝风,施福明简谱

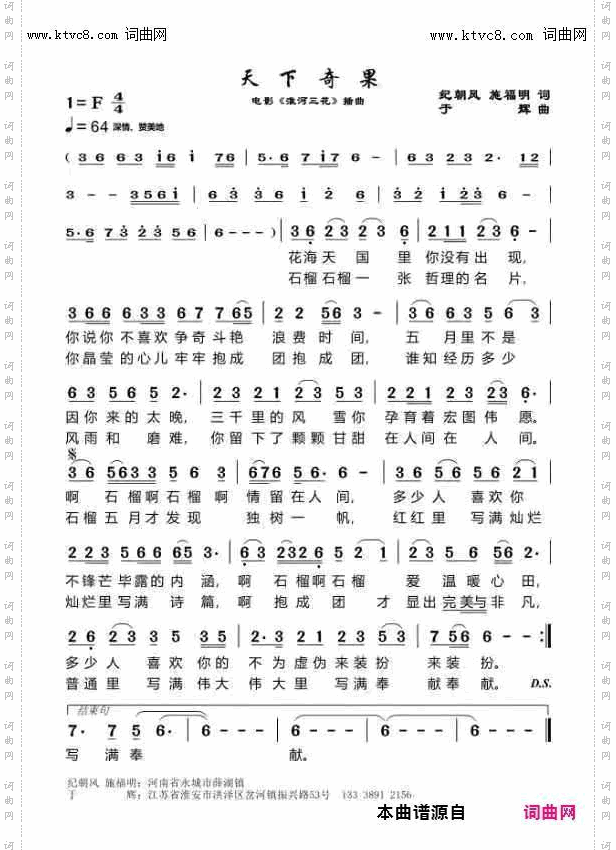
天下奇果_石榴的奉献精神-天下奇果,纪朝风,施福明简谱

天下奇果_石榴的奉献精神

相关话题:天下奇果   纪朝风   施福明

乐器分类
戏曲专栏
热门话题