首页 > 声乐 > 简谱 / 正文内容_像风一样-像风一样,薛之谦,薛之谦,薛之谦简谱

像风一样-像风一样,薛之谦,薛之谦,薛之谦简谱

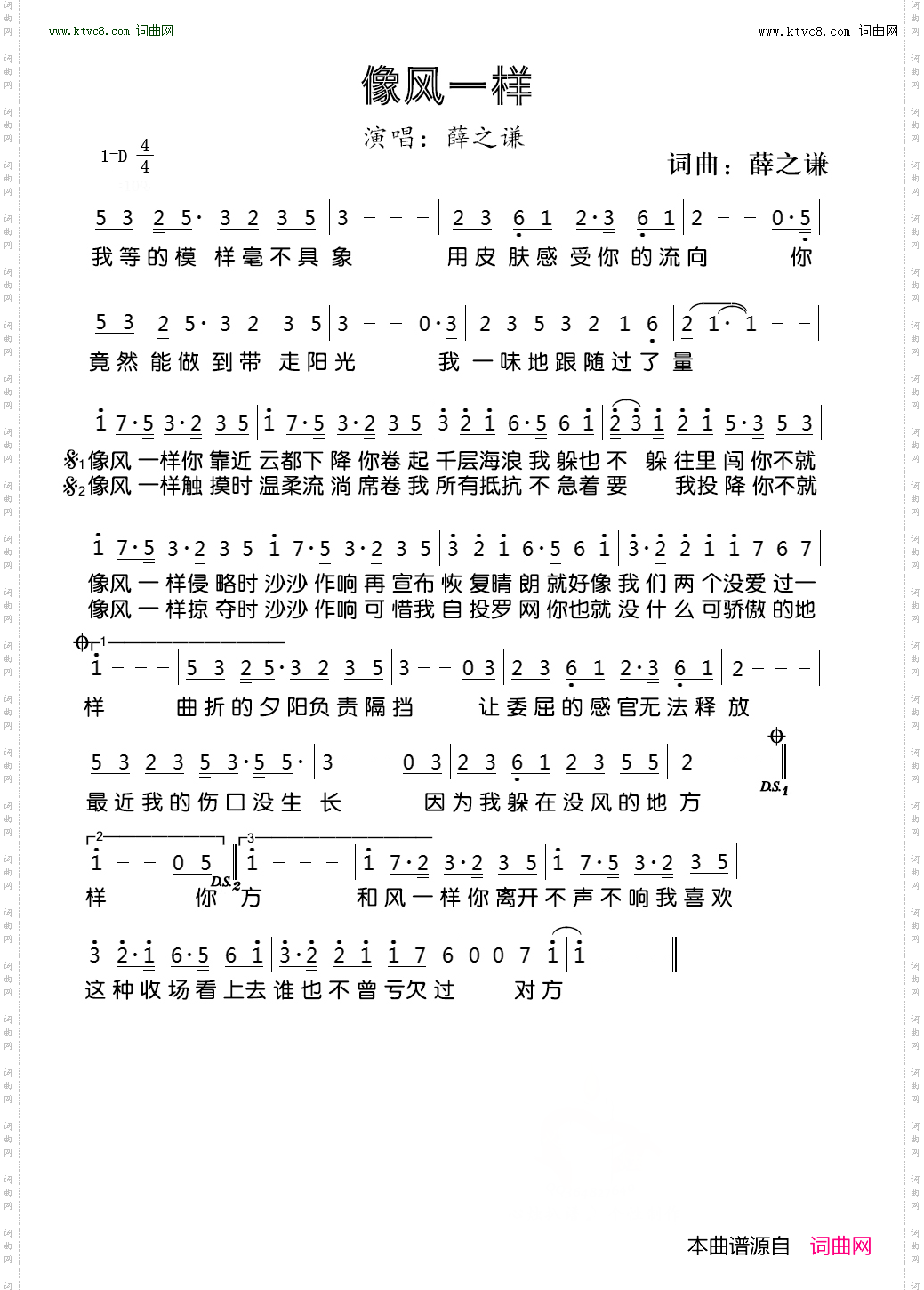
像风一样

像风一样

相关话题:像风一样   薛之谦   薛之谦   薛之谦

乐器分类
戏曲专栏
热门话题