首页 > 声乐 > 简谱 / 正文内容_美丽东山岛-美丽东山岛,李秋生,刘季宏,朱跃明,郭老师简谱

美丽东山岛-美丽东山岛,李秋生,刘季宏,朱跃明,郭老师简谱

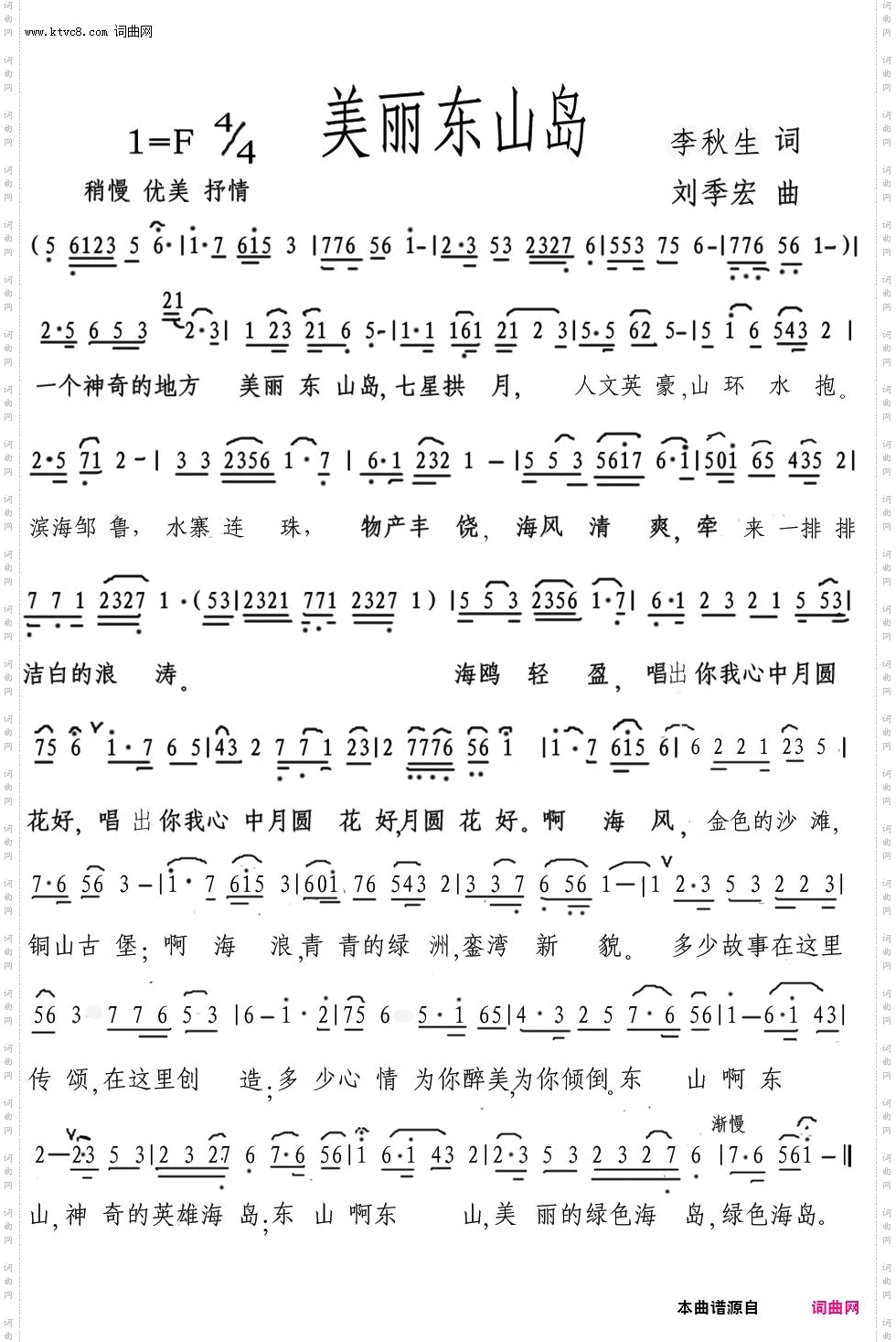
美丽东山岛

相关话题:美丽东山岛   李秋生   刘季宏   朱跃明   郭老师

乐器分类
戏曲专栏
热门话题