首页 > 声乐 > 简谱 / 正文内容_多情的油纸伞-多情的油纸伞,月明,月明,天籁天简谱

多情的油纸伞-多情的油纸伞,月明,月明,天籁天简谱

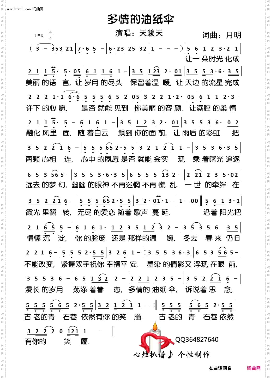
多情的油纸伞

多情的油纸伞

相关话题:多情的油纸伞   月明   月明   天籁天

乐器分类
戏曲专栏
热门话题