首页 > 声乐 > 简谱 / 正文内容_如果幸福的错-如果幸福的错,单小荣,单小荣,小荣简谱

如果幸福的错-如果幸福的错,单小荣,单小荣,小荣简谱

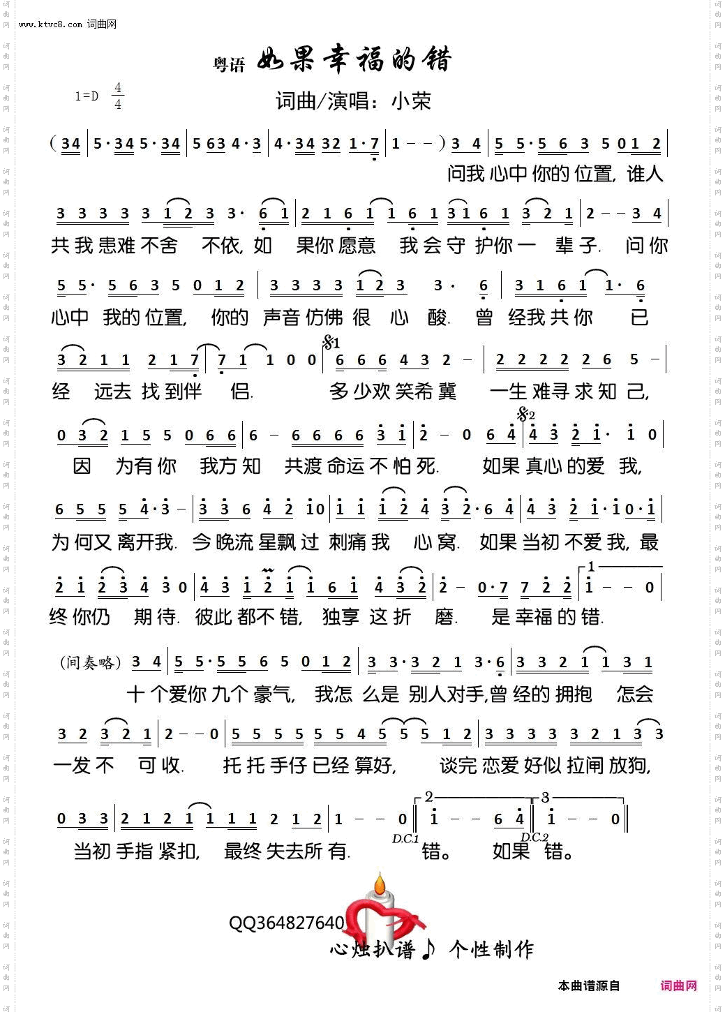
如果幸福的错

如果幸福的错

相关话题:如果幸福的错   单小荣   单小荣   小荣

乐器分类
戏曲专栏
热门话题