首页 > 声乐 > 简谱 / 正文内容_我们这一代-我们这一代,吴浩,吴浩简谱

我们这一代-我们这一代,吴浩,吴浩简谱

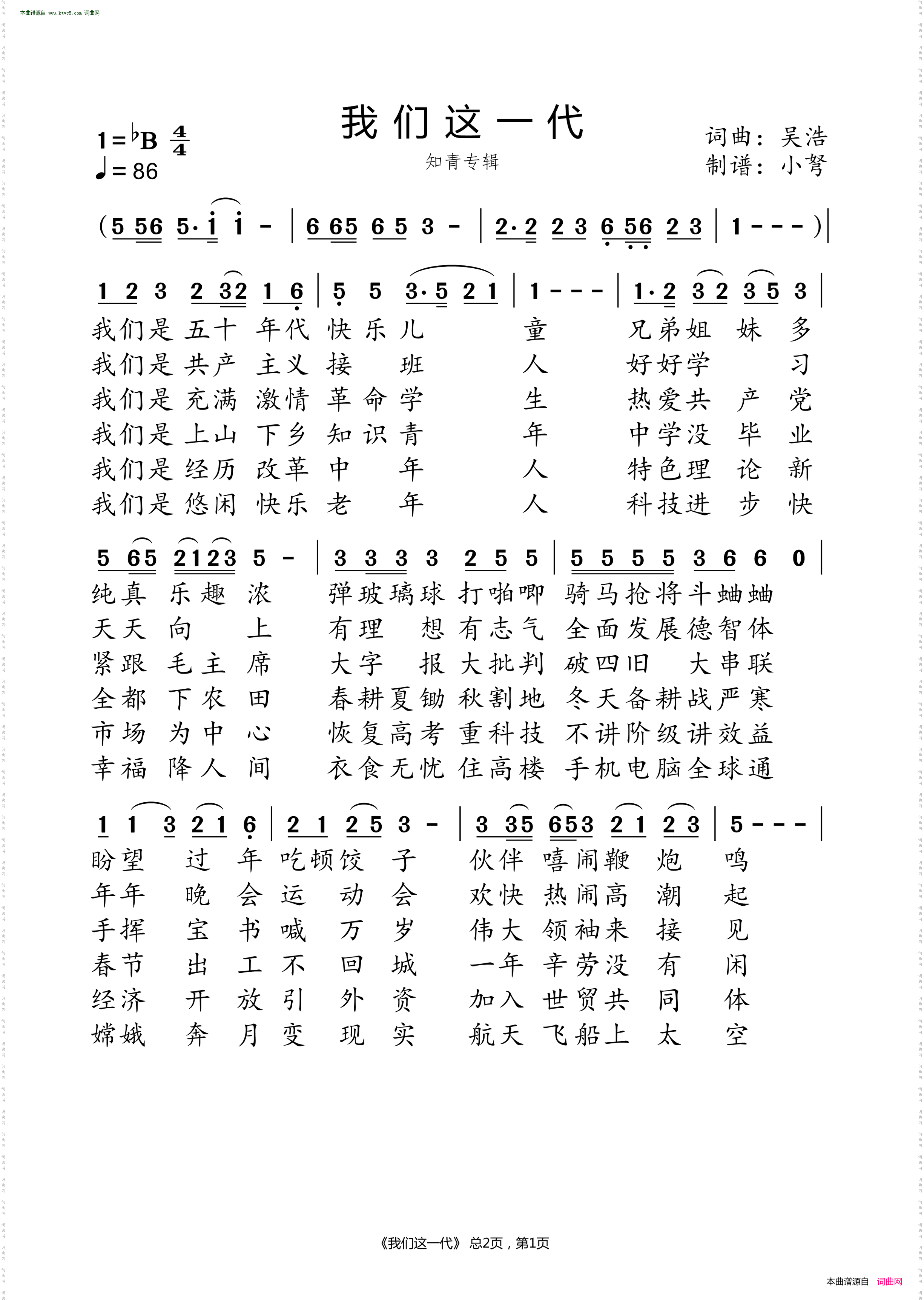
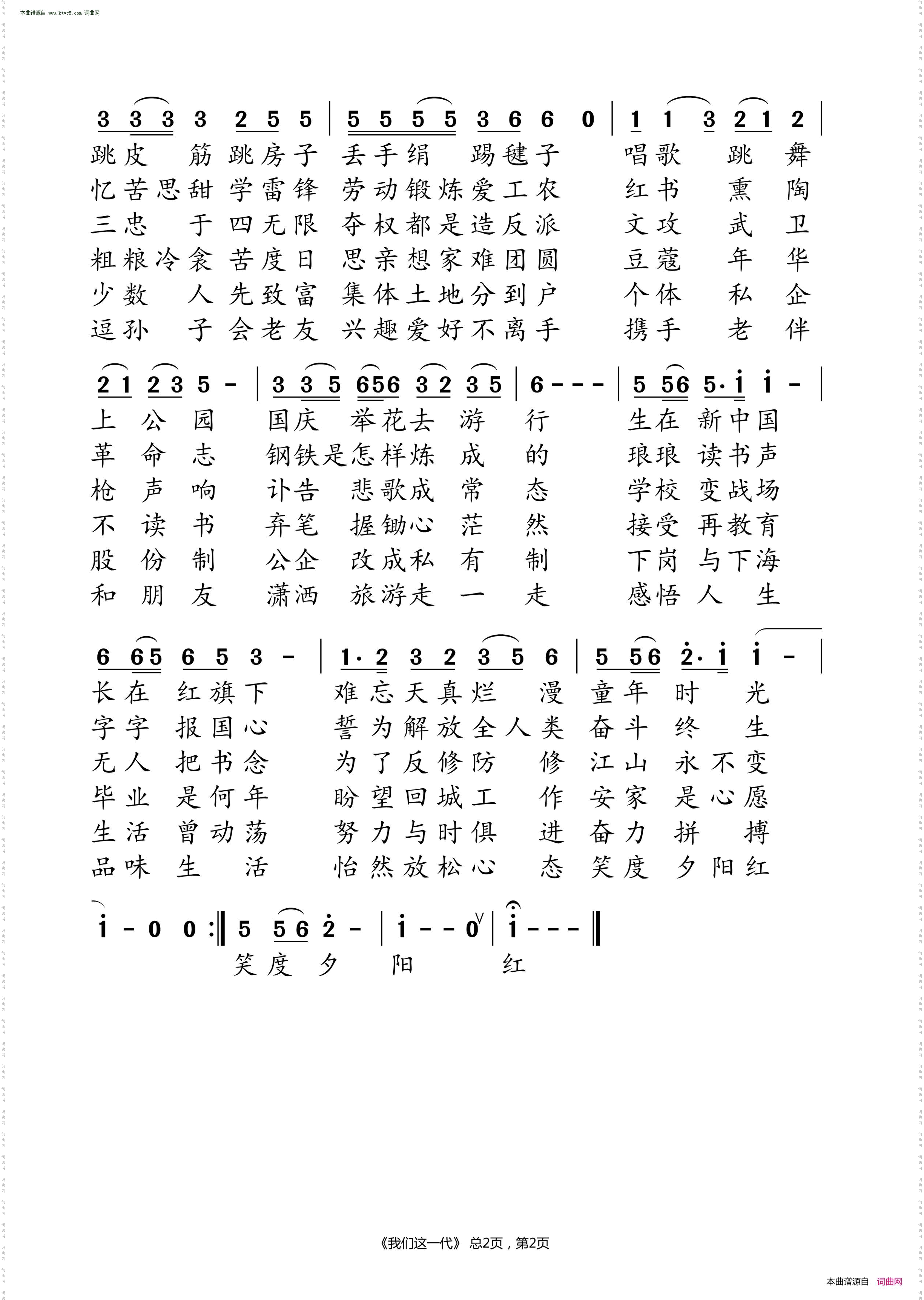
我们这一代

我们这一代

相关话题:我们这一代   吴浩   吴浩

乐器分类
戏曲专栏
热门话题