首页 > 声乐 > 简谱 / 正文内容_想你的夜真的很长-雨中百合,姜山,雨中百合简谱

想你的夜真的很长-雨中百合,姜山,雨中百合简谱

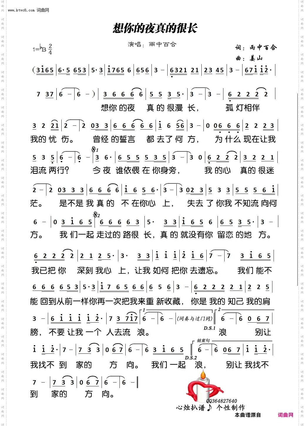
想你的夜真的很长

想你的夜真的很长

相关话题:雨中百合   姜山   雨中百合

乐器分类
戏曲专栏
热门话题