首页 > 声乐 > 简谱 / 正文内容_爱_奚家班班歌-爱,墨筠谦,曾水付,曾水付,伍薪蓓简谱

爱_奚家班班歌-爱,墨筠谦,曾水付,曾水付,伍薪蓓简谱

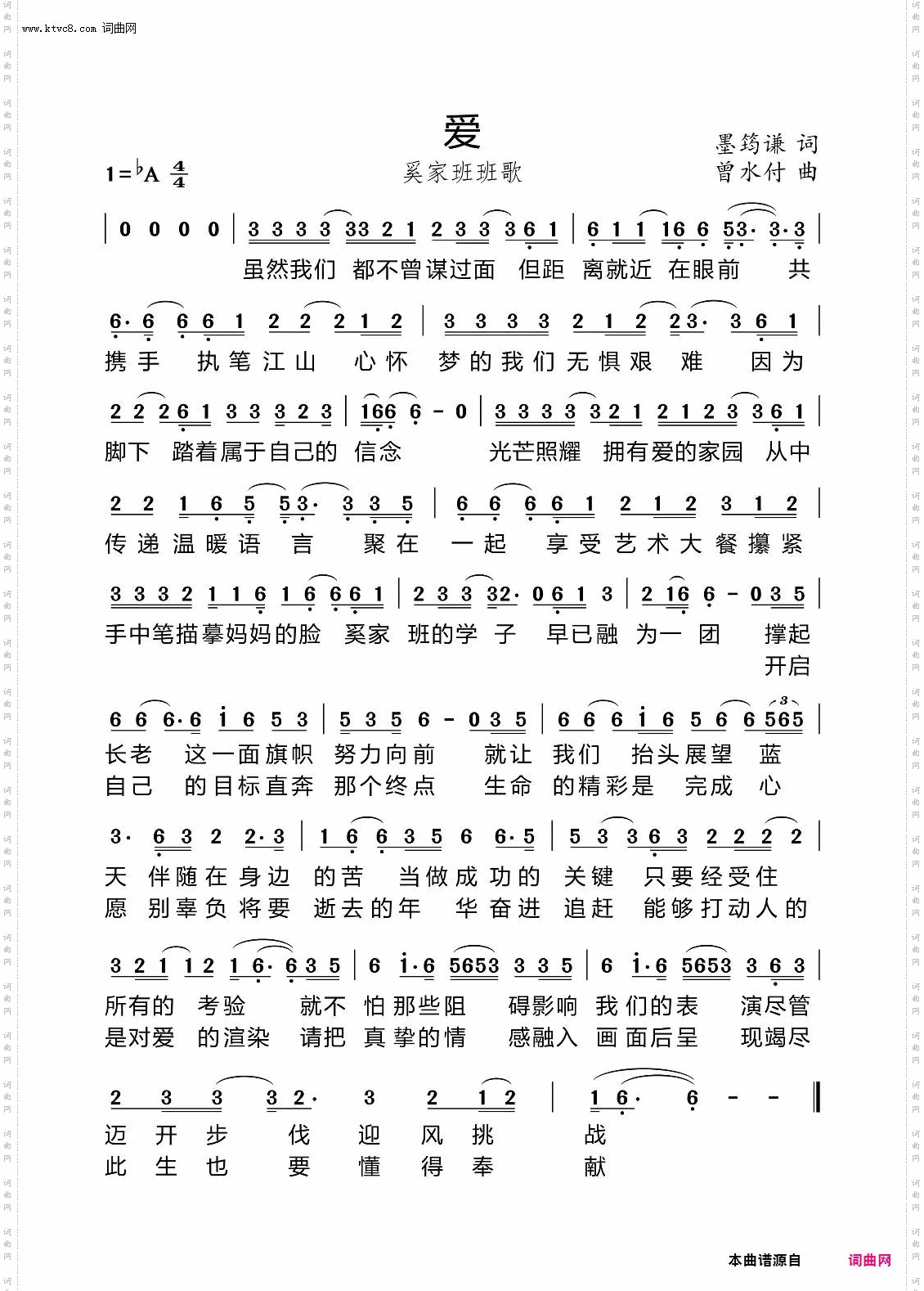
爱_奚家班班歌

相关话题:   墨筠谦   曾水付   曾水付   伍薪蓓

乐器分类
戏曲专栏
热门话题