首页 > 声乐 > 简谱 / 正文内容_小虾米-小虾米,魏联,方鹏凯,陈炜萱简谱

小虾米-小虾米,魏联,方鹏凯,陈炜萱简谱

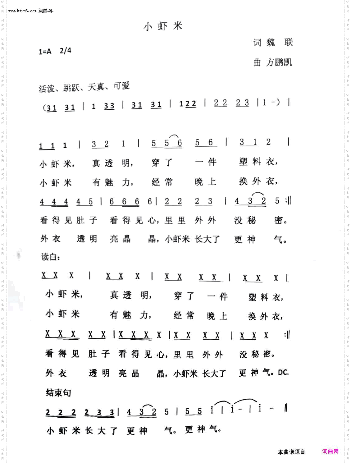
小虾米

小虾米

相关话题:小虾米   魏联   方鹏凯   陈炜萱

乐器分类
戏曲专栏
热门话题