首页 > 声乐 > 简谱 / 正文内容_早晨我们迎着太阳走_王心田旋律版-李艳华,臧辉先,王心田,王心田简谱

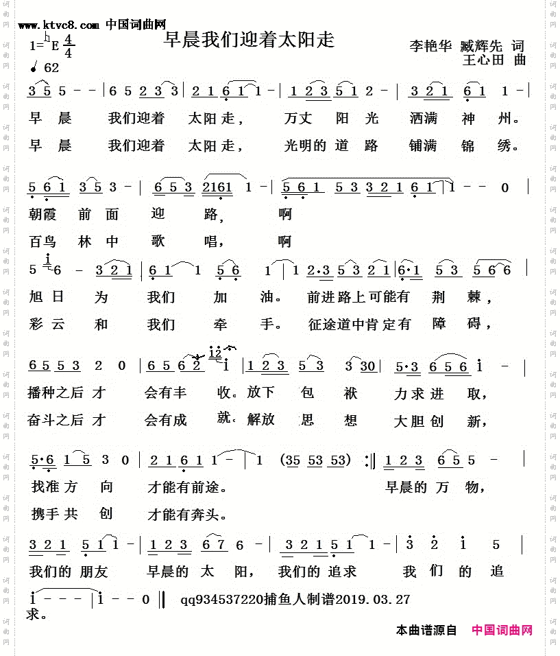
早晨我们迎着太阳走_王心田旋律版-李艳华,臧辉先,王心田,王心田简谱

早晨我们迎着太阳走_王心田旋律版

相关话题:李艳华   臧辉先   王心田   王心田

乐器分类
戏曲专栏
热门话题