首页 > 声乐 > 简谱 / 正文内容_汗血马之歌-汗血马之歌,杜华伟,谌丽君简谱

汗血马之歌-汗血马之歌,杜华伟,谌丽君简谱

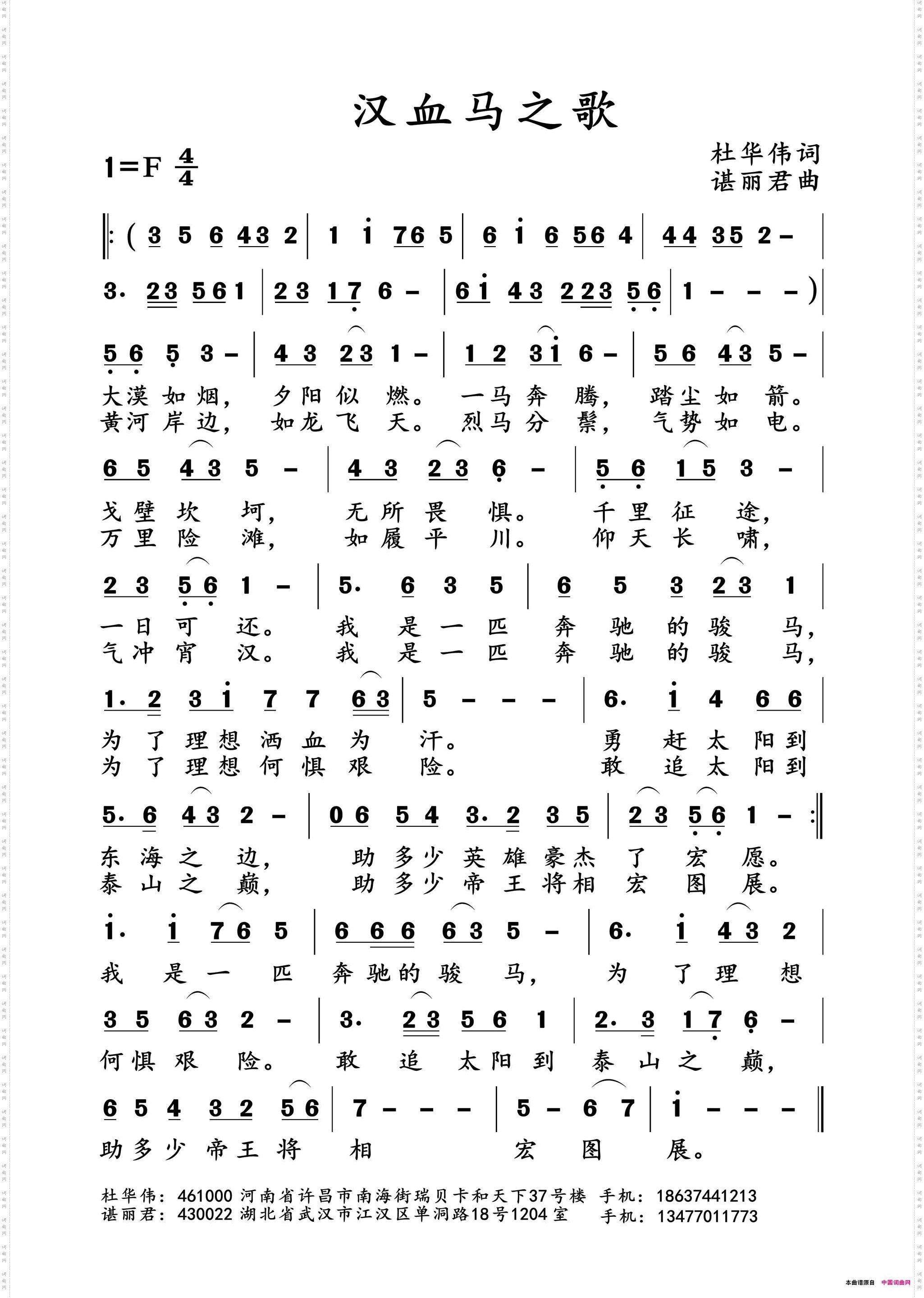
汗血马之歌

相关话题:汗血马之歌   杜华伟   谌丽君

乐器分类
戏曲专栏
热门话题