首页 > 声乐 > 简谱 / 正文内容_权御天下-权御天下,st,乌龟,洛天依简谱

权御天下-权御天下,st,乌龟,洛天依简谱

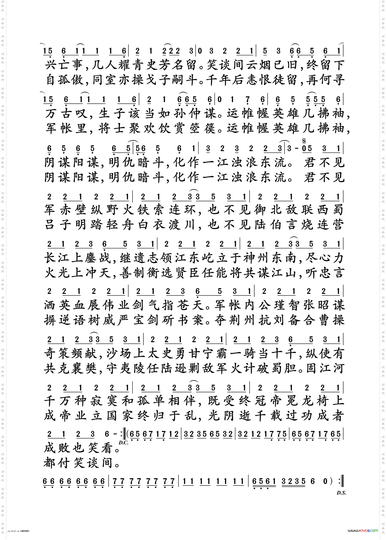
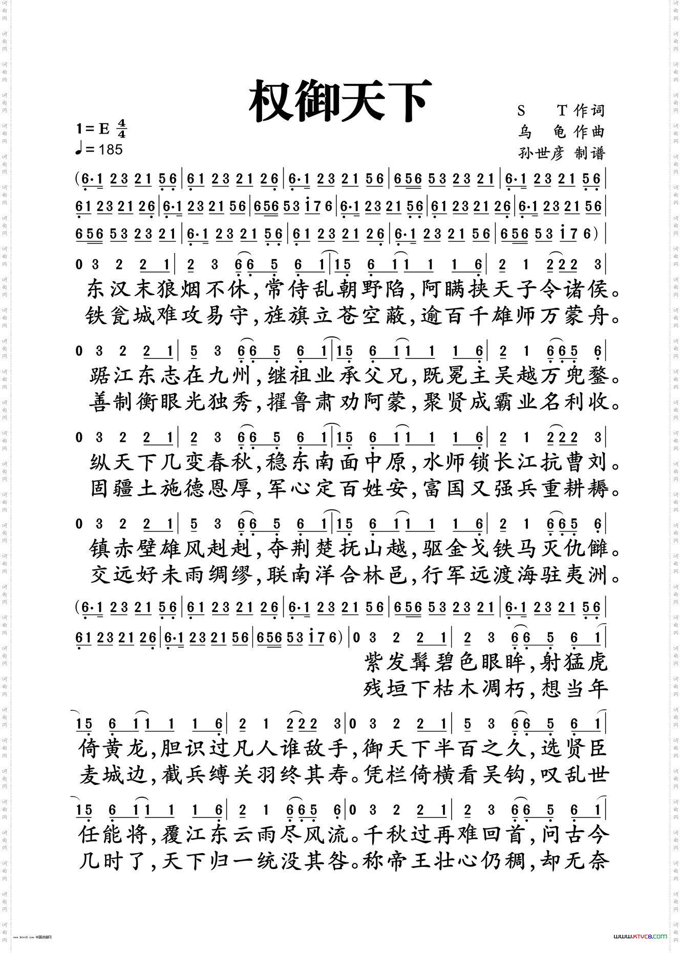
权御天下

权御天下

相关话题:权御天下   st   乌龟   洛天依

乐器分类
戏曲专栏
热门话题