首页 > 声乐 > 简谱 / 正文内容_月圆的时候我在想你-玄昌俊,李若夕,玄昌俊,娅琳,玄昌俊简谱

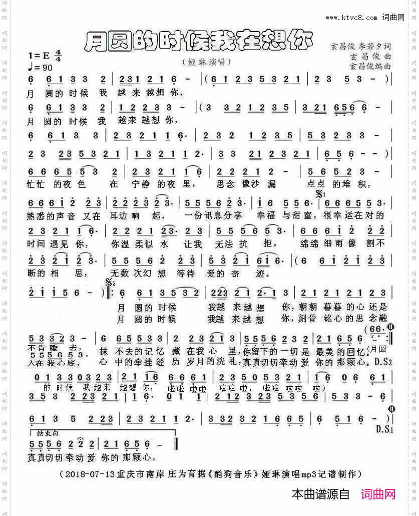
月圆的时候我在想你-玄昌俊,李若夕,玄昌俊,娅琳,玄昌俊简谱

月圆的时候我在想你

相关话题:玄昌俊   李若夕   玄昌俊   娅琳   玄昌俊

乐器分类
戏曲专栏
热门话题