首页 > 声乐 > 简谱 / 正文内容_海的女儿-海的女儿,李志,李志,李志简谱

海的女儿-海的女儿,李志,李志,李志简谱

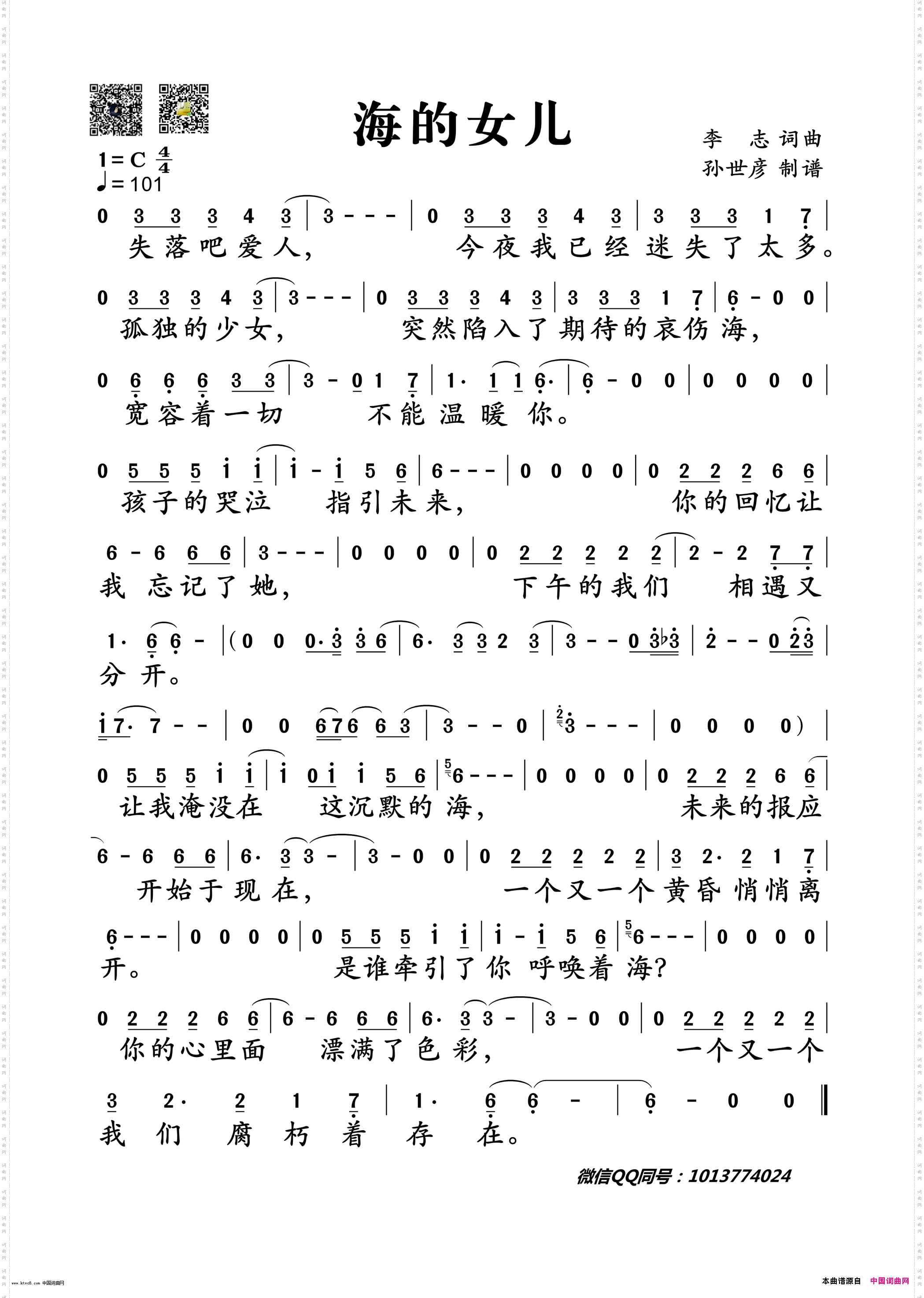
海的女儿

相关话题:海的女儿   李志   李志   李志

乐器分类
戏曲专栏
热门话题