首页 > 声乐 > 简谱 / 正文内容_goodbyelove-甜生,甜生,令音之翼简谱

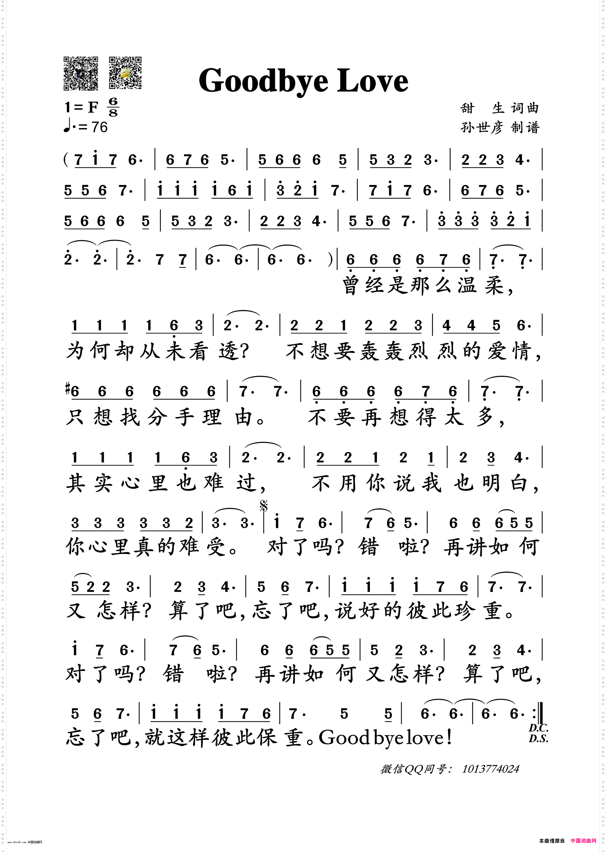
goodbyelove-甜生,甜生,令音之翼简谱

goodbyelove

相关话题:甜生   甜生   令音之翼

乐器分类
戏曲专栏
热门话题