首页 > 声乐 > 简谱 / 正文内容_虫儿飞-虫儿飞简谱

虫儿飞-虫儿飞简谱

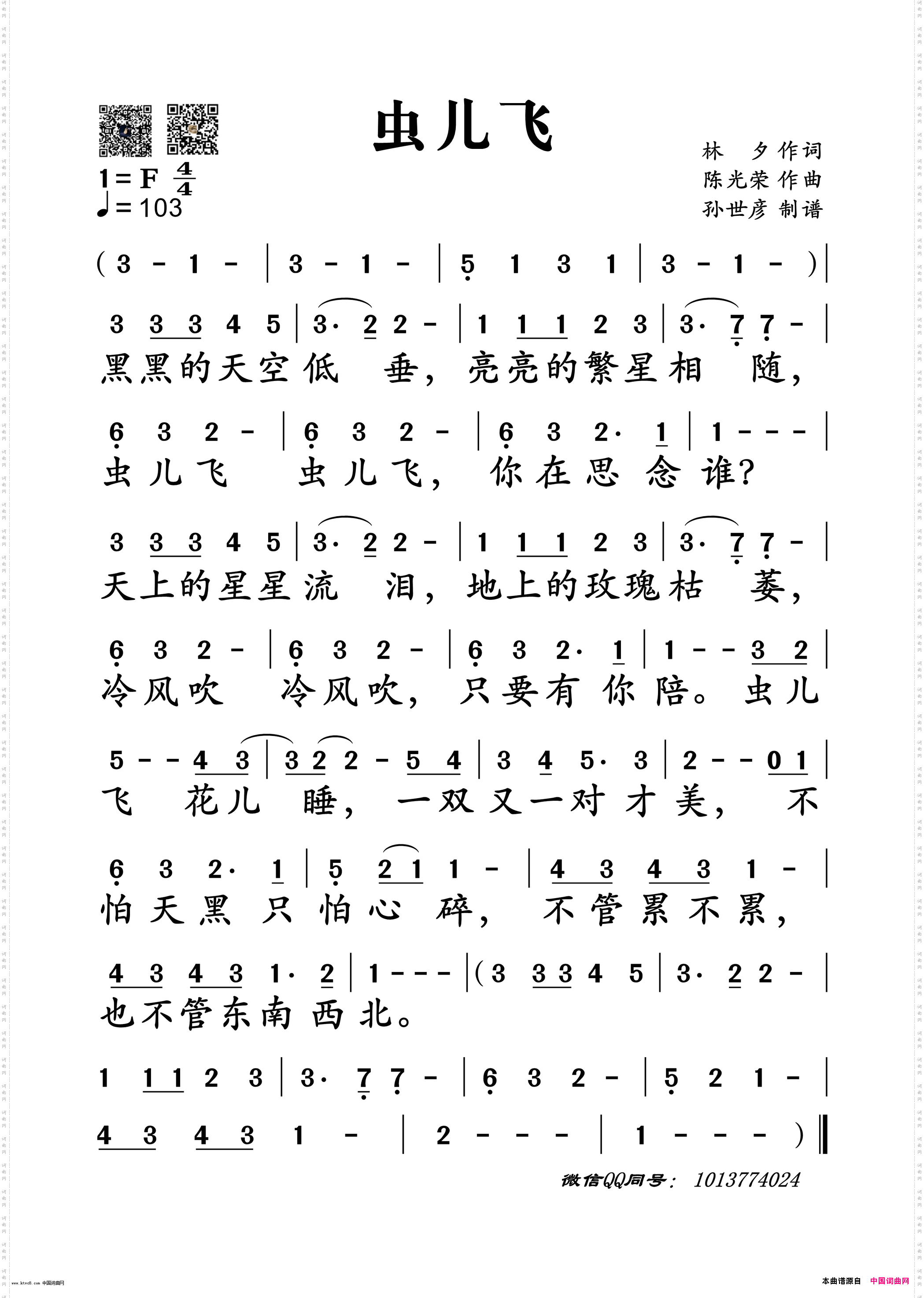
虫儿飞

相关话题:虫儿飞

乐器分类
戏曲专栏
热门话题