首页 > 声乐 > 简谱 / 正文内容_最美情侣-最美情侣,白小白,白小白,白小白简谱

最美情侣-最美情侣,白小白,白小白,白小白简谱

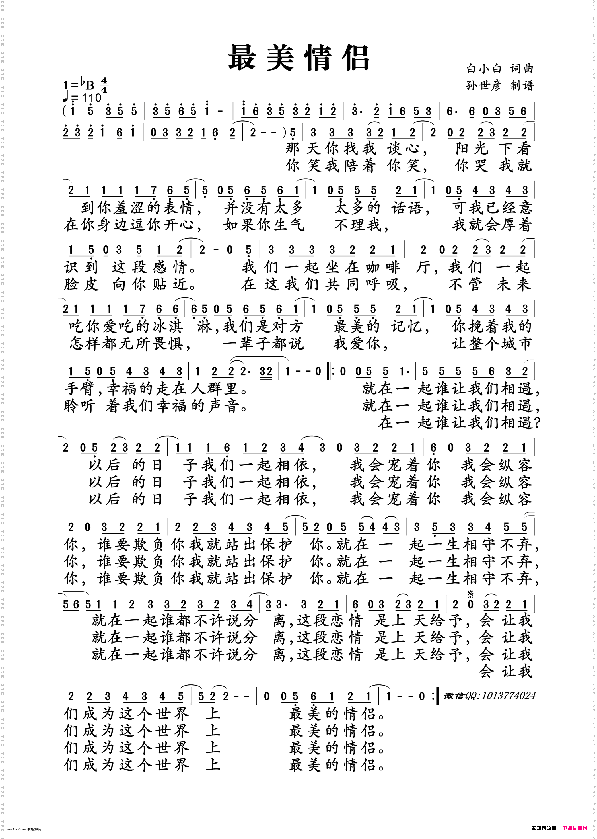
最美情侣

相关话题:最美情侣   白小白   白小白   白小白

乐器分类
戏曲专栏
热门话题