首页 > 声乐 > 简谱 / 正文内容_美丽的遂宁-美丽的遂宁,邓会双,邓会双,邓会双,邓会双简谱

美丽的遂宁-美丽的遂宁,邓会双,邓会双,邓会双,邓会双简谱

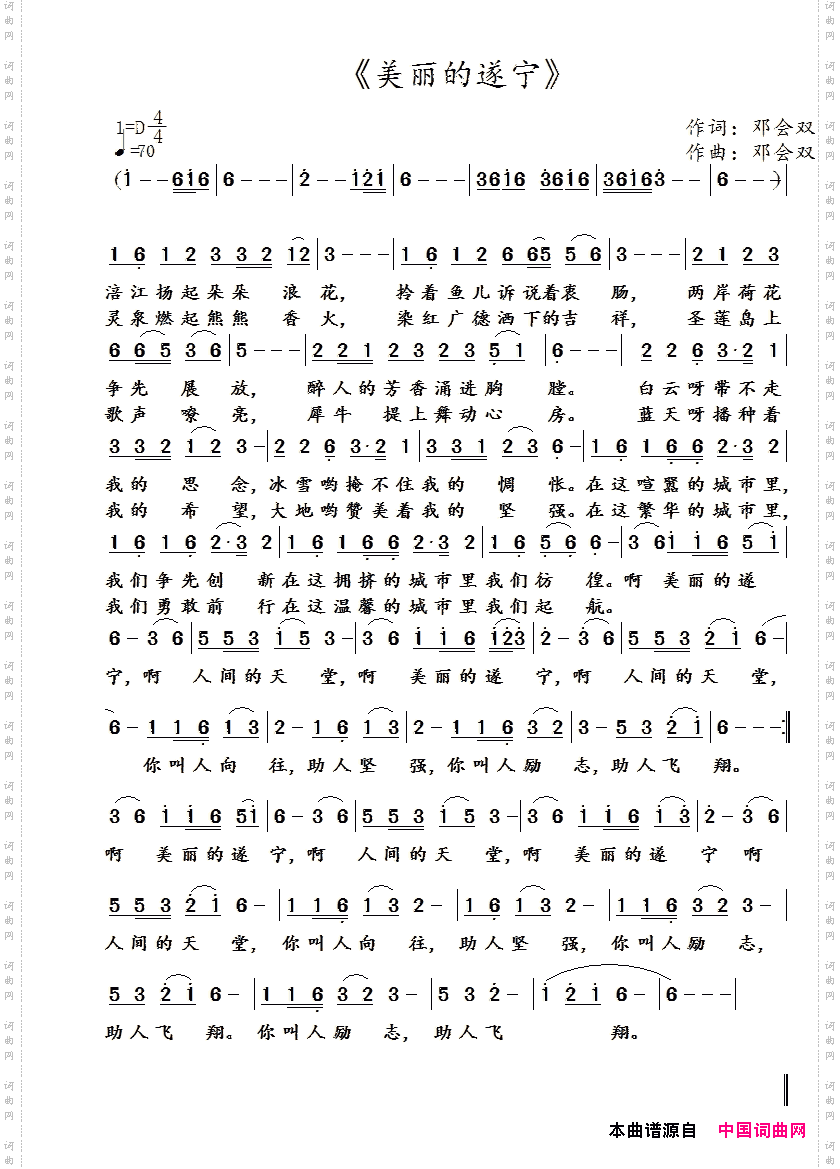
美丽的遂宁

相关话题:美丽的遂宁   邓会双   邓会双   邓会双   邓会双

乐器分类
戏曲专栏
热门话题