首页 > 声乐 > 简谱 / 正文内容_花落知多少-花落知多少,倪健,倪健,倪健简谱

花落知多少-花落知多少,倪健,倪健,倪健简谱

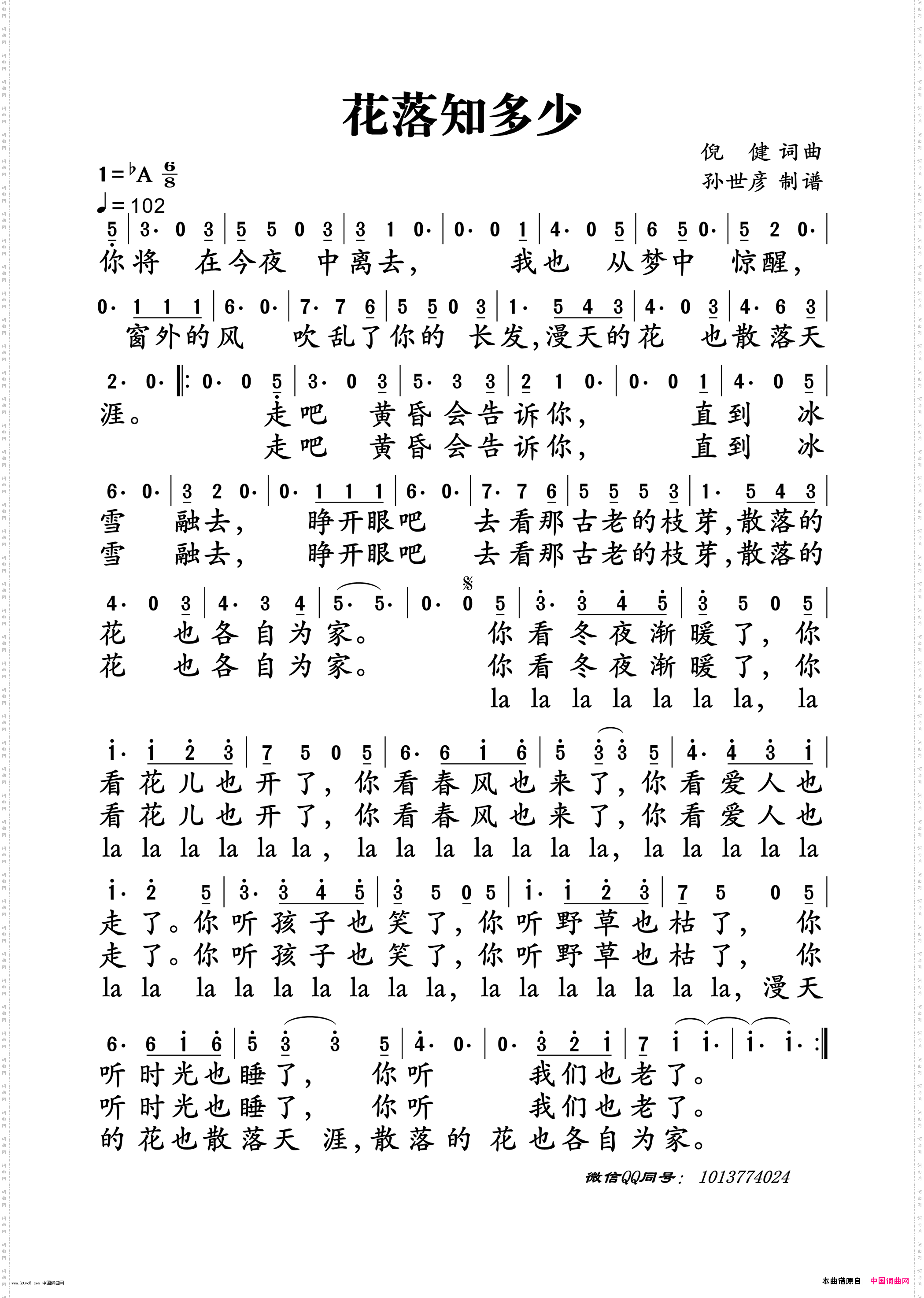
花落知多少

相关话题:花落知多少   倪健   倪健   倪健

乐器分类
戏曲专栏
热门话题