首页 > 声乐 > 简谱 / 正文内容_深蓝乐队《2月14》-深蓝乐队简谱

深蓝乐队《2月14》-深蓝乐队简谱

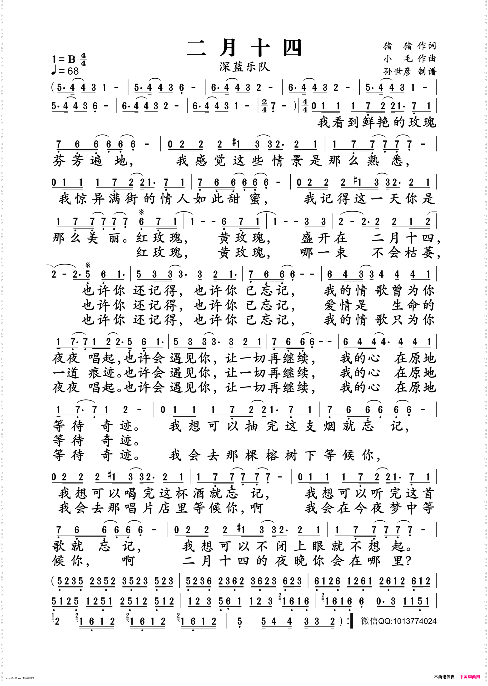
深蓝乐队《2月14》

相关话题:深蓝乐队

乐器分类
戏曲专栏
热门话题