首页 > 声乐 > 简谱 / 正文内容_父子_2016年春晚歌曲-父子,崔恕,崔恕,佟铁鑫,杨洋简谱

父子_2016年春晚歌曲-父子,崔恕,崔恕,佟铁鑫,杨洋简谱

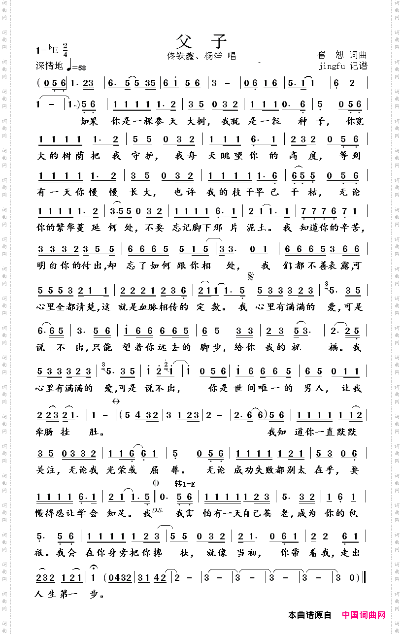
父子_2016年春晚歌曲

相关话题:父子   崔恕   崔恕   佟铁鑫   杨洋

乐器分类
戏曲专栏
热门话题