首页 > 声乐 > 简谱 / 正文内容_老三届_ 知青50周年专辑-老三届,秦庚云,王佑贵,贺继红简谱

老三届_ 知青50周年专辑-老三届,秦庚云,王佑贵,贺继红简谱

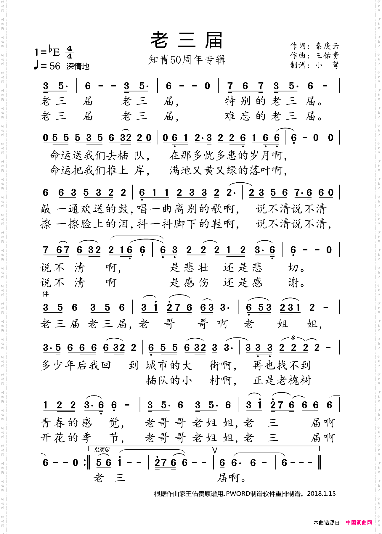
老三届_ 知青50周年专辑

相关话题:老三届   秦庚云   王佑贵   贺继红

乐器分类
戏曲专栏
热门话题