首页 > 声乐 > 简谱 / 正文内容_我们是雷达兵【合唱】-李大江,江为华,二月寒梅,快乐大使,乐天简谱

我们是雷达兵【合唱】-李大江,江为华,二月寒梅,快乐大使,乐天简谱

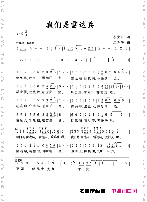
我们是雷达兵【合唱】

我们是雷达兵【合唱】

相关话题:李大江   江为华   二月寒梅   快乐大使   乐天

乐器分类
戏曲专栏
热门话题