首页 > 声乐 > 简谱 / 正文内容_相遇也是缘-相遇也是缘,唐金城,李戈简谱

相遇也是缘-相遇也是缘,唐金城,李戈简谱

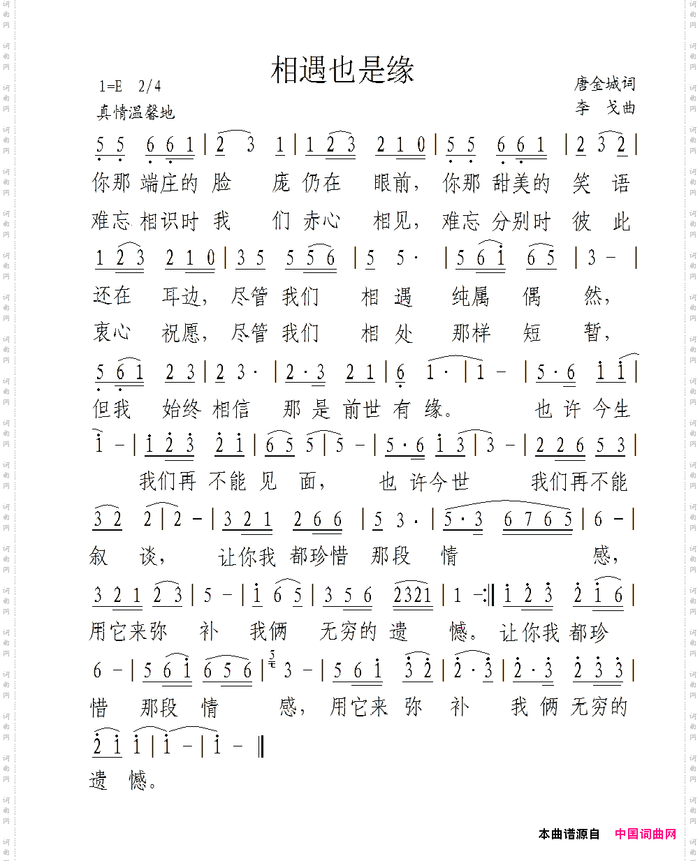
相遇也是缘

相关话题:相遇也是缘   唐金城   李戈

乐器分类
戏曲专栏
热门话题