首页 > 声乐 > 简谱 / 正文内容_一晃就老了-一晃就老了,高羽,陈伟,秋裤大叔,孙侠简谱

一晃就老了-一晃就老了,高羽,陈伟,秋裤大叔,孙侠简谱

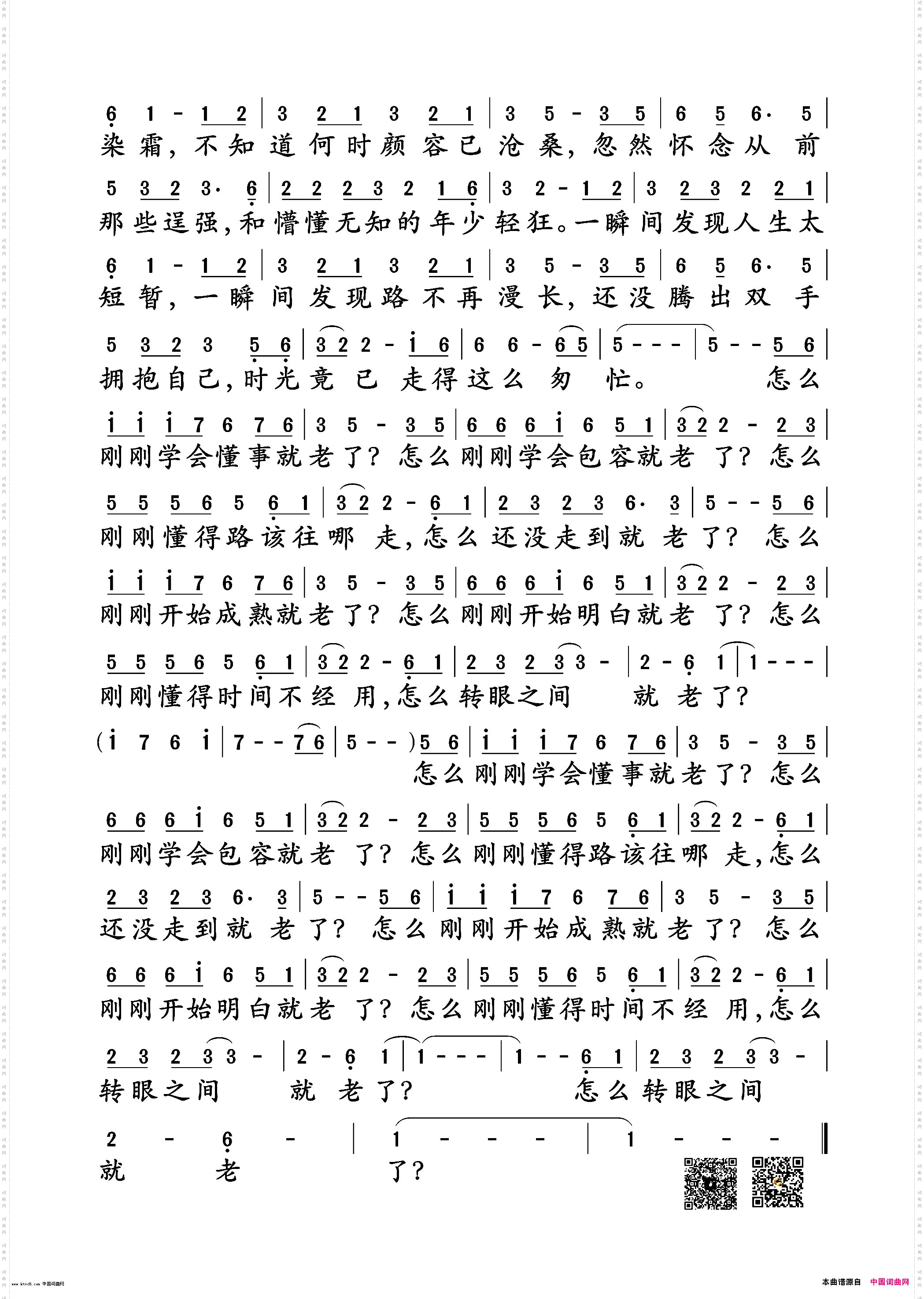
一晃就老了

一晃就老了

相关话题:一晃就老了   高羽   陈伟   秋裤大叔   孙侠

乐器分类
戏曲专栏
热门话题